Open Access

Fig. A.2

image

Download original image

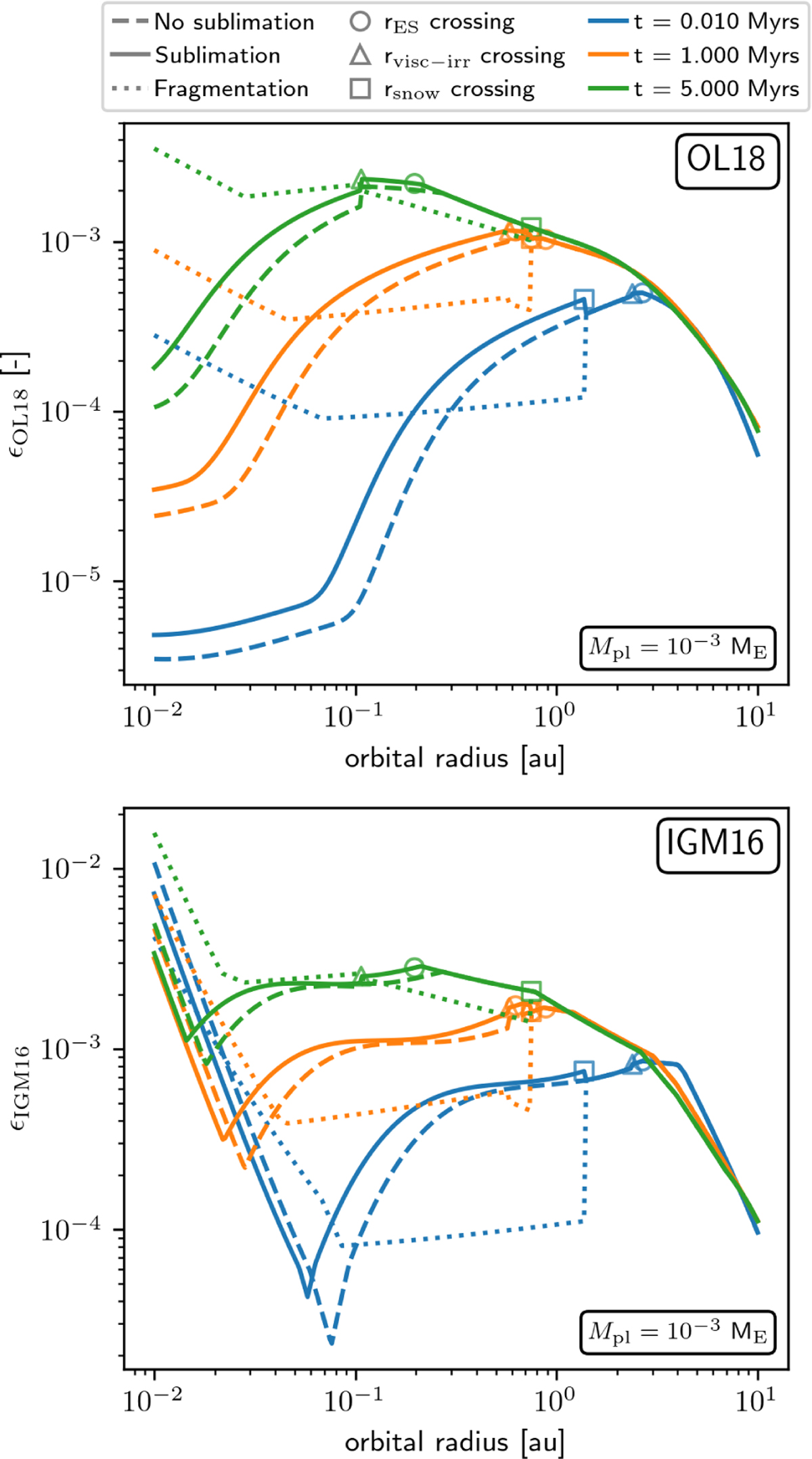
Influence of sublimation and fragmentation on the accretion efficiency from OL18 (top) and IGM16 (bottom) within the snowline of a 1.00 M star. The accretion efficiencies are calculated for a 10−3 ME planetesimal. The line styles match those in Fig. A.1. Fragmentation causes a sudden decrease in accretion efficiency at the snowline, especially after 0.01 and 1.0 Myr, due to the τs becoming so small that pebbles couple to the gas. Without fragmentation, the efficiency rapidly decreases in the inner regions of the disc (≲ 0.2 au), due to τs becoming too large for pebbles to settle. The sudden and sharp increase in ϵIGM16 in the innermost part of the disc is an unintended modelling effect from the accretion impact parameter B becoming smaller than the planet radius Rpl.

Current usage metrics show cumulative count of Article Views (full-text article views including HTML views, PDF and ePub downloads, according to the available data) and Abstracts Views on Vision4Press platform.

Data correspond to usage on the plateform after 2015. The current usage metrics is available 48-96 hours after online publication and is updated daily on week days.

Initial download of the metrics may take a while.