Open Access

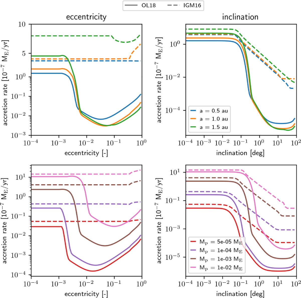
Fig. 2

image

Download original image

Orbit-averaged pebble accretion rate as a function of eccentricity (left panels) and inclination (right panels) for planets around a 1.0 M star, 0.01 Myr after the formation of the disc. The top plots show the accretion rate for a 10−3 ME planetesimal at different orbital radii, while the bottom plots shows results for planets of different masses at 1 au. The solid lines were calculated with OL18, the dashed lines with IGM16. The OL18 prescription contains explicit expressions for the influence of the eccentricity and inclination on the accretion rate, while the IGM16 model only includes corrections for part of the influence of the inclination. For large e, the change in rp along a single orbit becomes significant enough for the variations in the encountered disc conditions to influence the accretion rate, both in the OL18 and the IGM16 model. The y-axis of the top-left plot changes from a logarithmic to a linear scale at 1 × 10−7 ME/yr to highlight the effect.

Current usage metrics show cumulative count of Article Views (full-text article views including HTML views, PDF and ePub downloads, according to the available data) and Abstracts Views on Vision4Press platform.

Data correspond to usage on the plateform after 2015. The current usage metrics is available 48-96 hours after online publication and is updated daily on week days.

Initial download of the metrics may take a while.