Open Access

Fig. 9

image

Download original image

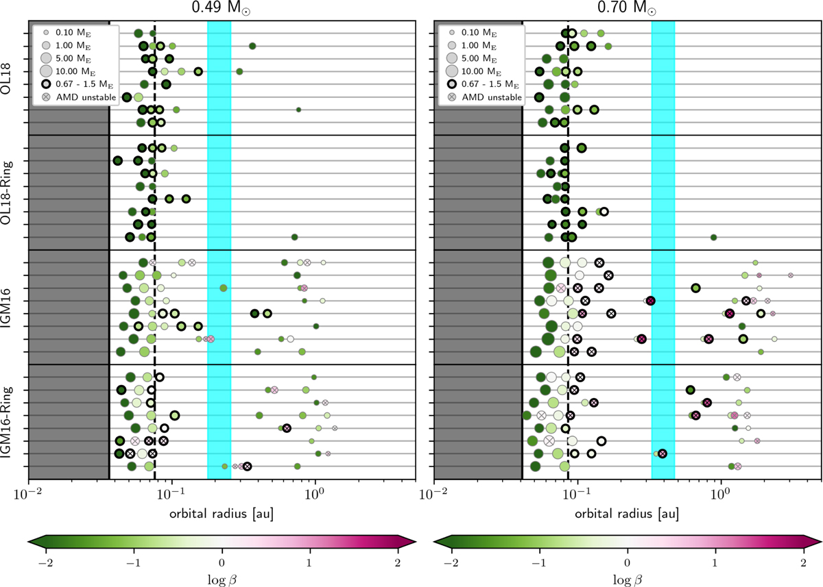
Simulated planetary systems around the 0.49 (left) and 0.70 (right) M stars for the four PA models. The size of the markers represents the mass of the planet, while their colour represents the planet’s AMD stability (see Sect. 5.6). The layout of the figure is explained in the caption of Fig. 6.

Current usage metrics show cumulative count of Article Views (full-text article views including HTML views, PDF and ePub downloads, according to the available data) and Abstracts Views on Vision4Press platform.

Data correspond to usage on the plateform after 2015. The current usage metrics is available 48-96 hours after online publication and is updated daily on week days.

Initial download of the metrics may take a while.