Open Access

Fig. C.3

image

Download original image

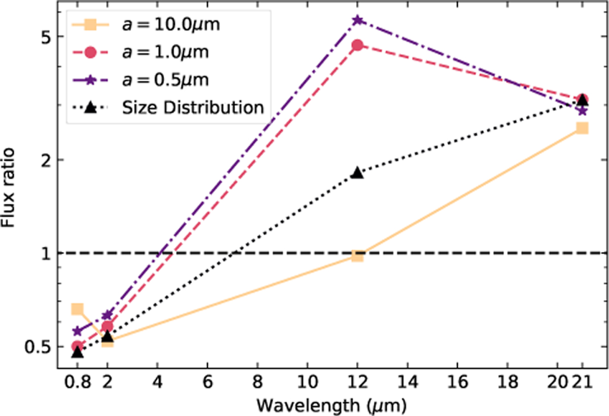
Flux ratio as a function of wavelengths for models of warped disks with a warp tilt of 10° and different dust properties. The models are simulated with φ = 60°, and the y-axis is plotted in log-scale.

Current usage metrics show cumulative count of Article Views (full-text article views including HTML views, PDF and ePub downloads, according to the available data) and Abstracts Views on Vision4Press platform.

Data correspond to usage on the plateform after 2015. The current usage metrics is available 48-96 hours after online publication and is updated daily on week days.

Initial download of the metrics may take a while.