Open Access

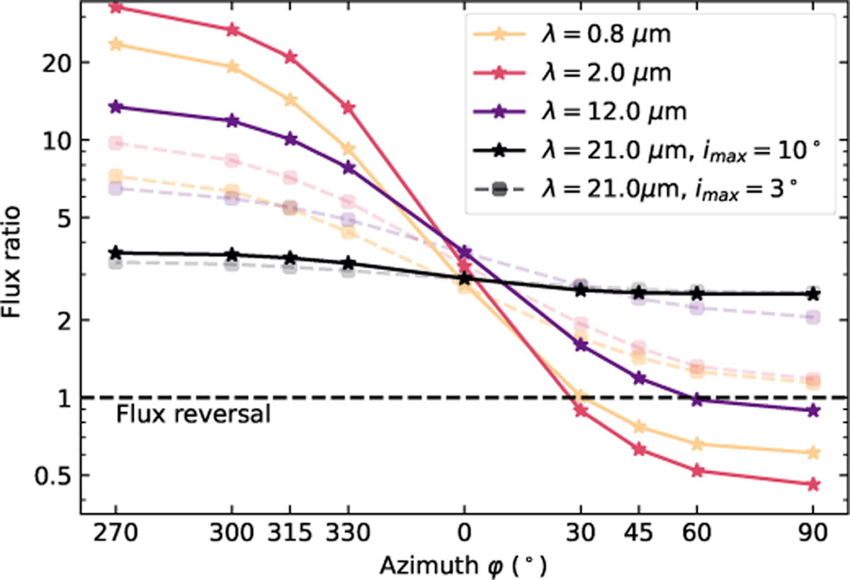
Fig. 9

image

Download original image

Flux ratios for models of warped disks with a warp tilt of 10° (solid lines) and of 3° (light dashed lines) in four different wavelengths. The outer disk is oriented with an inclination of 85°. In this case, we need to calculate the models for half of the φ-regime, the other half is symmetric. The dashed black line indicates the line where the flux ratio equals one (where both nebulae have the same brightness). We note that the y-axis is plotted in log-scale.

Current usage metrics show cumulative count of Article Views (full-text article views including HTML views, PDF and ePub downloads, according to the available data) and Abstracts Views on Vision4Press platform.

Data correspond to usage on the plateform after 2015. The current usage metrics is available 48-96 hours after online publication and is updated daily on week days.

Initial download of the metrics may take a while.