Open Access

Fig. 6.

image

Download original image

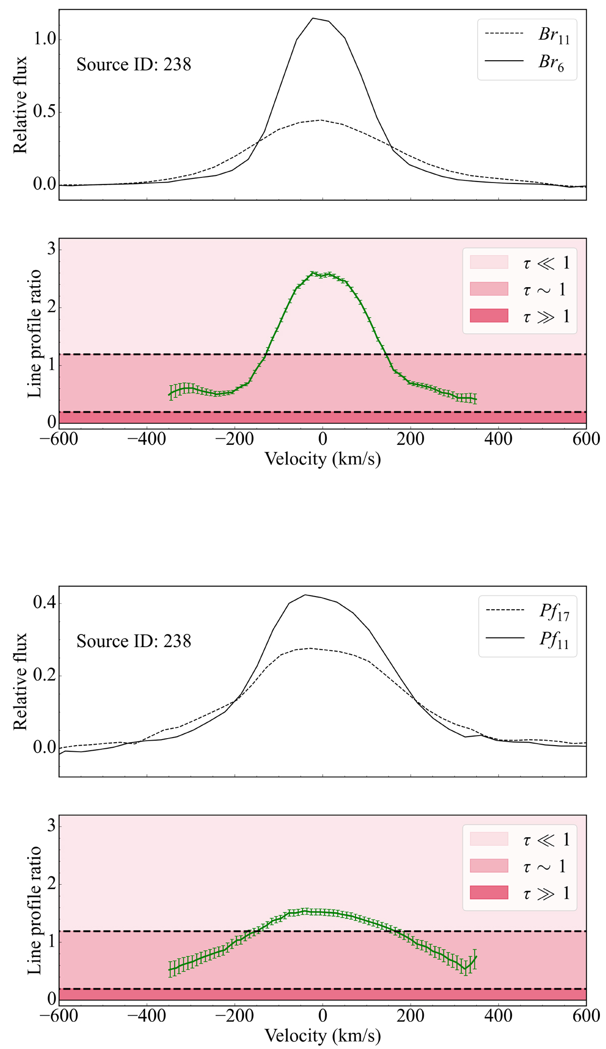
Optical depth diagrams for spectrally resolved emission lines. Top: Line profiles Br11 and Br6 are shown as the dashed and solid black lines, respectively. The line profiles are plotted on a velocity scale, with each line centred at its rest wavelength. Underneath, the green solid line shows the line profile ratio Br 11 Br 6 $ \frac{\mathrm{Br}_{11}}{\mathrm{Br}_{6}} $. The dark red patch represents the fully optically thick values. The medium red patch represents the partially optically thick values. The light red represents the optically thin values. Bottom: Same as above but for Pf17 and Pf11.

Current usage metrics show cumulative count of Article Views (full-text article views including HTML views, PDF and ePub downloads, according to the available data) and Abstracts Views on Vision4Press platform.

Data correspond to usage on the plateform after 2015. The current usage metrics is available 48-96 hours after online publication and is updated daily on week days.

Initial download of the metrics may take a while.