Open Access

Fig. A.1

image

Download original image

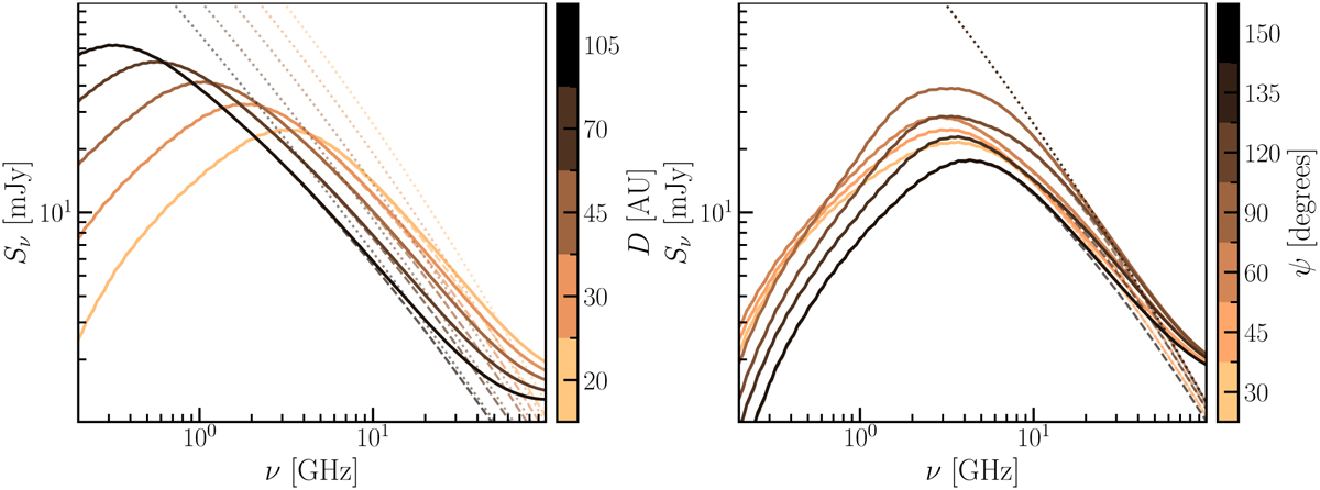
Radio SEDs of HD 93129A for different 3-D separations (left panel) and for different projection angles ψ (right panel). The dotted lines represent the unabsorbed synchrotron emission (which is independent of ψ), the dashed lines the absorption-corrected synchrotron emission, and the solid lines the total emission (summing the contribution from the ionised winds). Values of ψ < 90° correspond to the secondary star being closer to the observer.

Current usage metrics show cumulative count of Article Views (full-text article views including HTML views, PDF and ePub downloads, according to the available data) and Abstracts Views on Vision4Press platform.

Data correspond to usage on the plateform after 2015. The current usage metrics is available 48-96 hours after online publication and is updated daily on week days.

Initial download of the metrics may take a while.