Open Access

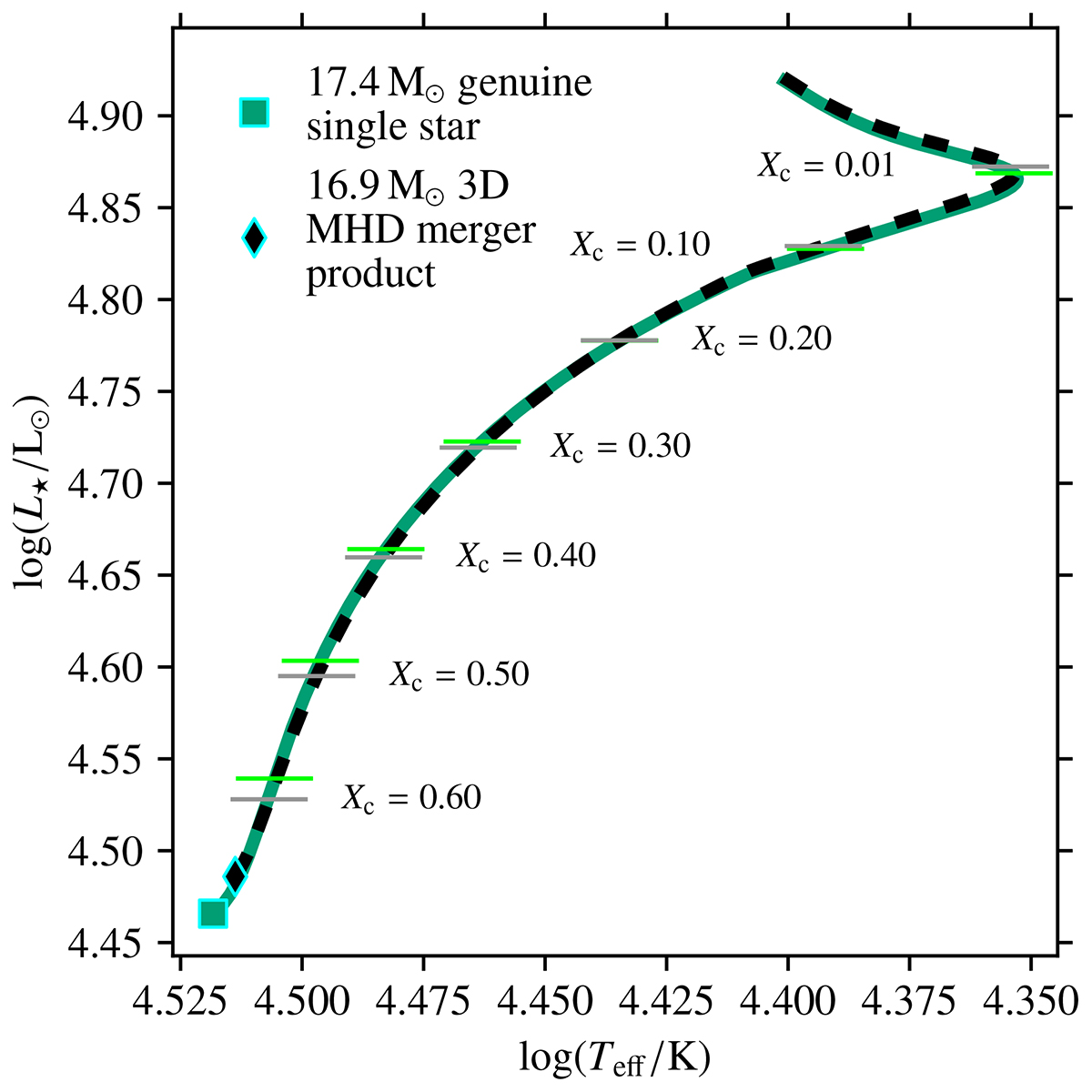
Fig. 1.

image

Download original image

HRD with MS evolutionary tracks for the 16.9 M 3D MHD merger product (black dashed line) and the 17.4 M genuine single star (green solid line). The grey and lime-coloured horizontal markers indicate different evolutionary stages, using the central hydrogen mass fraction Xc as a proxy for the evolutionary age, for the merger product and genuine single star, respectively.

Current usage metrics show cumulative count of Article Views (full-text article views including HTML views, PDF and ePub downloads, according to the available data) and Abstracts Views on Vision4Press platform.

Data correspond to usage on the plateform after 2015. The current usage metrics is available 48-96 hours after online publication and is updated daily on week days.

Initial download of the metrics may take a while.