Open Access

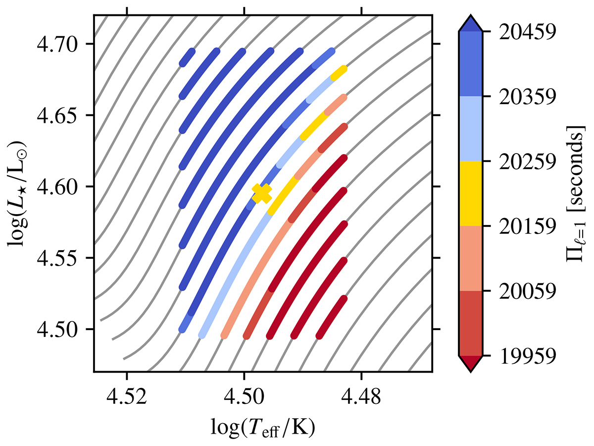
Fig. 14.

image

Download original image

Values of Πℓ=11 for the 3D MHD merger product at Xc=0.50 (cross marker, Π 1 merger = 20 209 $ \Pi _{1}^{{\textrm {merger}}} = 20\,209 $ s) and genuine single stars (dot markers) in a typical observational uncertainty box of log(L/L)±0.1 dex and Teff±1000 K. The grey lines are MS HRD tracks for genuine single stars with masses between 15.4 M (bottom right) and 20.0 M (top left). The boundaries of the colourbar are set by Π 1 merger ± K σ Δ P $ \Pi _{1}^{{\textrm {merger}}} \pm K\sigma _{\Delta P} $, with K=1, 2, 3.

Current usage metrics show cumulative count of Article Views (full-text article views including HTML views, PDF and ePub downloads, according to the available data) and Abstracts Views on Vision4Press platform.

Data correspond to usage on the plateform after 2015. The current usage metrics is available 48-96 hours after online publication and is updated daily on week days.

Initial download of the metrics may take a while.