Open Access

Fig. 3.

image

Download original image

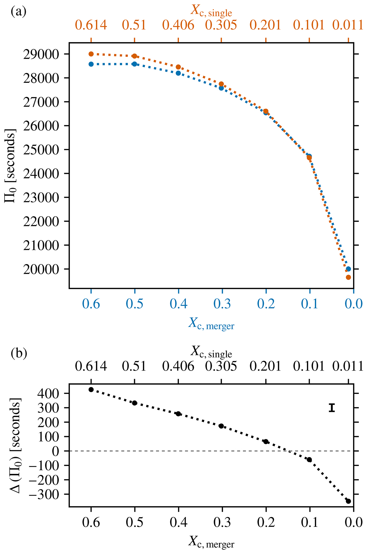
Comparison between the buoyancy travel time Π0 of the 16.9 M 3D MHD merger product (blue line) and the 17.4 M genuine single star (red line) as a function of their respective central hydrogen mass fractions Xc (panel a). Panel b shows the absolute differences in Π0, Δ(Π0)=Π0, single−Π0, merger. The error bar in panel b shows σΔP.

Current usage metrics show cumulative count of Article Views (full-text article views including HTML views, PDF and ePub downloads, according to the available data) and Abstracts Views on Vision4Press platform.

Data correspond to usage on the plateform after 2015. The current usage metrics is available 48-96 hours after online publication and is updated daily on week days.

Initial download of the metrics may take a while.