Open Access

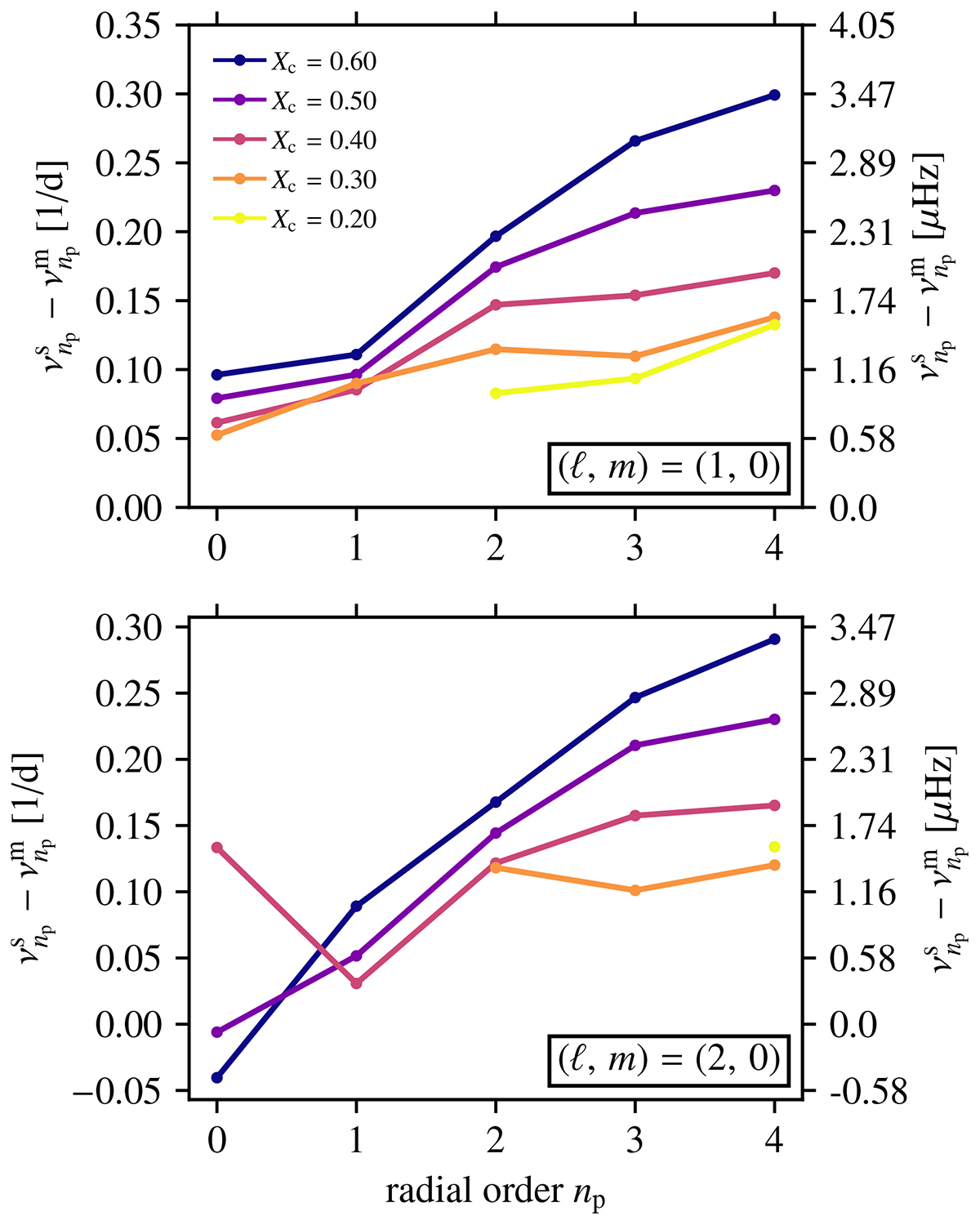
Fig. 8.

image

Download original image

Absolute differences between the 17.4 M genuine single star's p-mode frequencies ν n p s $ \nu _{n_{\mathrm {p}}}^{{\textrm {s}}} $ and the 16.9 M 3D MHD merger product's p-mode frequencies ν n p m $ \nu _{n_{\mathrm {p}}}^{{\textrm {m}}} $ per radial order np, in the absence of rotation. The (ℓ, m)=(1, 0) and (ℓ, m)=(2, 0) modes are shown in the upper and lower panel, respectively. The lines are colour-coded according to the merger product's central hydrogen fraction Xc.

Current usage metrics show cumulative count of Article Views (full-text article views including HTML views, PDF and ePub downloads, according to the available data) and Abstracts Views on Vision4Press platform.

Data correspond to usage on the plateform after 2015. The current usage metrics is available 48-96 hours after online publication and is updated daily on week days.

Initial download of the metrics may take a while.