Open Access

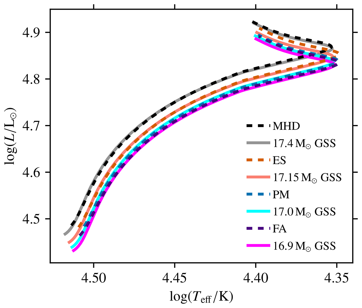
Fig. 9.

image

Download original image

HRD with the evolutionary tracks of the 16.9 M merger product computed with the 3D MHD simulation (MHD, black dashed line), entropy sorting (ES, red dashed line), PyMMAMS (PM, blue dashed line), and fast accretion (FA, indigo dashed line). The corresponding 17.4 M, 17.15 M, 17.0 M, and 16.9 M genuine single stars evolutionary tracks are drawn with grey, orange, cyan, and magenta solid lines, respectively.

Current usage metrics show cumulative count of Article Views (full-text article views including HTML views, PDF and ePub downloads, according to the available data) and Abstracts Views on Vision4Press platform.

Data correspond to usage on the plateform after 2015. The current usage metrics is available 48-96 hours after online publication and is updated daily on week days.

Initial download of the metrics may take a while.