Open Access
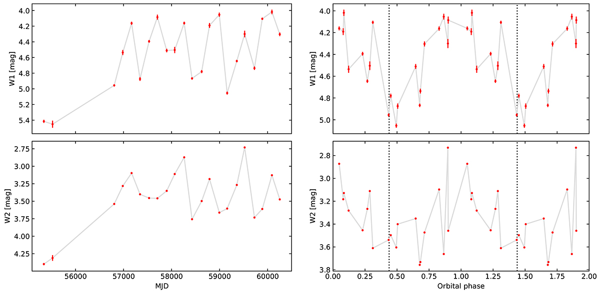
Fig. 3.
 
      Download original image
WISE photometric measurements (red points). Left panels: Full light curve. Right panels: Phase plot of WISE observations made after MJD 56000 using the orbital ephemeris of Oomen et al. (2018), where the dotted lines mark the phase of inferior conjunction (post-AGB star closest to the observer).
Current usage metrics show cumulative count of Article Views (full-text article views including HTML views, PDF and ePub downloads, according to the available data) and Abstracts Views on Vision4Press platform.
Data correspond to usage on the plateform after 2015. The current usage metrics is available 48-96 hours after online publication and is updated daily on week days.
Initial download of the metrics may take a while.
