Open Access

Fig. 8

image

Download original image

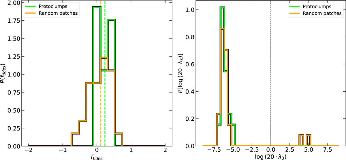
Same as Figure 5 but for the protoclumps in the isolated galaxy simulation. One can see that the protoclumps in the isolated galaxy simulation are in regions where the tidal field is only weakly compressive, and are not much different than the random patches. Furthermore, λ3 < 0 for all of the protoclump regions, as opposed to protoclump regions in the cosmological simulations.

Current usage metrics show cumulative count of Article Views (full-text article views including HTML views, PDF and ePub downloads, according to the available data) and Abstracts Views on Vision4Press platform.

Data correspond to usage on the plateform after 2015. The current usage metrics is available 48-96 hours after online publication and is updated daily on week days.

Initial download of the metrics may take a while.