Open Access

Fig. B.1

image

Download original image

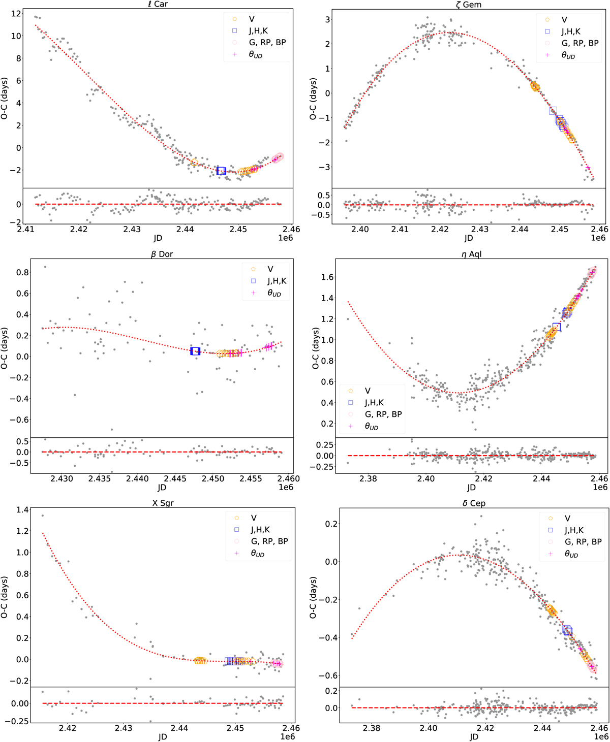
O-C diagrams for six of the seven Cepheids in our sample that are use to take into account the variation in the period in the calculation of the pulsation phase. For Car, ζ Gem, β Dor, η Aql, X Sgr and δ Cep, we consider the O-C values, the reference epoch and Heliocentric Julian date from Csörnyei et al. (2022). The O-C values (grey dots) are fitted by a parabola (dashed red line). The data used in this study (photometry and interferometry) are overplotted (see legend).

Current usage metrics show cumulative count of Article Views (full-text article views including HTML views, PDF and ePub downloads, according to the available data) and Abstracts Views on Vision4Press platform.

Data correspond to usage on the plateform after 2015. The current usage metrics is available 48-96 hours after online publication and is updated daily on week days.

Initial download of the metrics may take a while.