Open Access

Fig. 3

image

Download original image

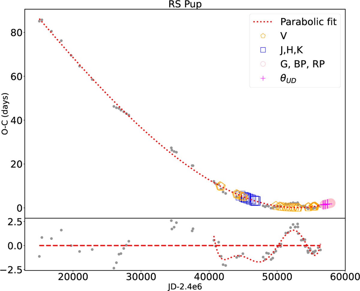
O–C diagram for RS Pup that was used to take into account the variation in the period in the calculation of the pulsation phase. We considered the data from Kervella et al. (2017) (grey points). The data used in this study (photometry and interferometry) are overplotted (see legend).

Current usage metrics show cumulative count of Article Views (full-text article views including HTML views, PDF and ePub downloads, according to the available data) and Abstracts Views on Vision4Press platform.

Data correspond to usage on the plateform after 2015. The current usage metrics is available 48-96 hours after online publication and is updated daily on week days.

Initial download of the metrics may take a while.