Open Access

This article has an erratum: [https://doi.org/10.1051/0004-6361/202660062e]


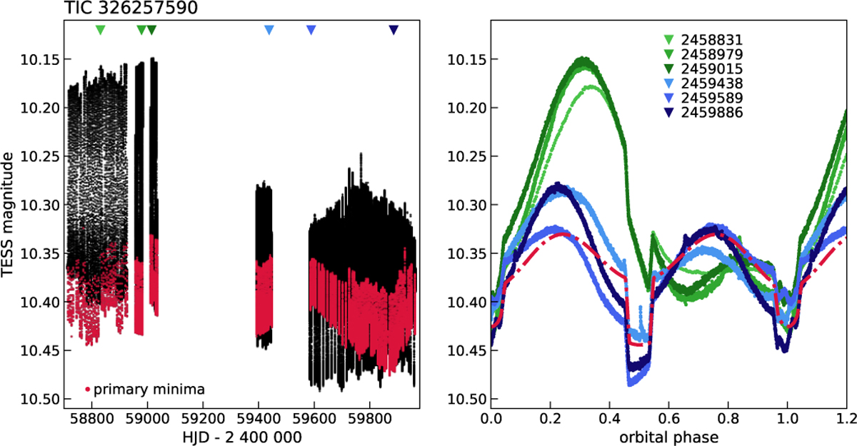
Fig. 13

image

Download original image

Left panel: TESS observations of TIC 326257590 made between August 2019 and January 2023, with the primary eclipses marked with red. Six individual light curves are marked with different colors and are phased with the orbital period in the right panel, showing the variability of the light curves due to spots at different epochs. The dash-dotted red line shows the approximate ellipsoidal light variations shifted to the most dense part of the observations for comparison.

Current usage metrics show cumulative count of Article Views (full-text article views including HTML views, PDF and ePub downloads, according to the available data) and Abstracts Views on Vision4Press platform.

Data correspond to usage on the plateform after 2015. The current usage metrics is available 48-96 hours after online publication and is updated daily on week days.

Initial download of the metrics may take a while.