Open Access

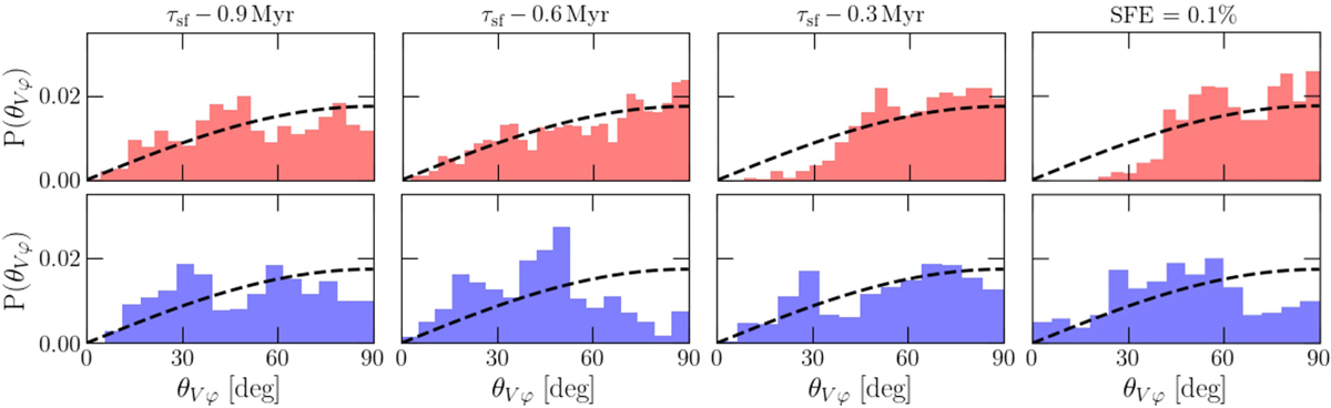
Fig. B.2

image

Download original image

Evolution of the distribution of the relative angle between the velocity vector of the filament crest and the filament direction (θ) in High_B (top) and Low_B (bottom), at different snapshots prior the onset of the SF (τsf). The black dashed lines mark the random distribution for the relative orientation of two independent vectors in 3D.

Current usage metrics show cumulative count of Article Views (full-text article views including HTML views, PDF and ePub downloads, according to the available data) and Abstracts Views on Vision4Press platform.

Data correspond to usage on the plateform after 2015. The current usage metrics is available 48-96 hours after online publication and is updated daily on week days.

Initial download of the metrics may take a while.