Open Access

Fig. 2.

image

Download original image

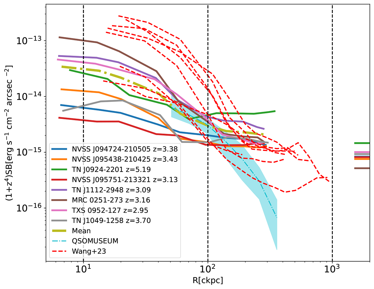
Redshift-corrected surface brightness curves for all the observed objects within our sample as well as those studied by Wang et al. (2023) (dashed lines) and Arrigoni-Battaia et al. (2018) (average indicated by the solid blue-shaded area with a dashed line). On the right side Y-axis, we report the different background level estimated for each individual source.

Current usage metrics show cumulative count of Article Views (full-text article views including HTML views, PDF and ePub downloads, according to the available data) and Abstracts Views on Vision4Press platform.

Data correspond to usage on the plateform after 2015. The current usage metrics is available 48-96 hours after online publication and is updated daily on week days.

Initial download of the metrics may take a while.