Open Access

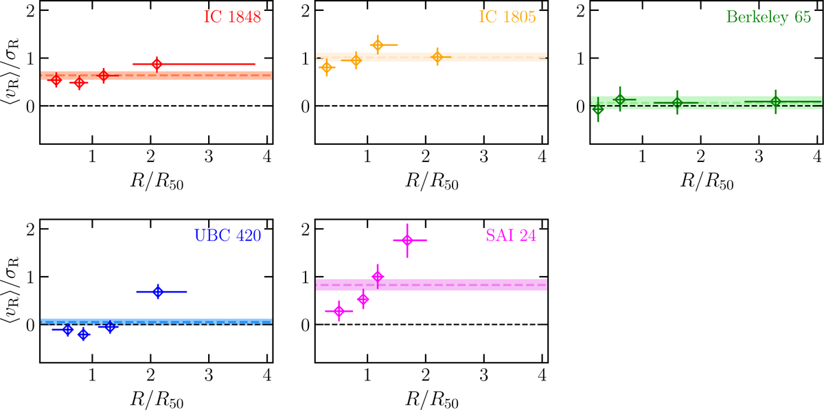
Fig. 7

image

Download original image

Profiles of the mean radial velocity-to-radial velocity dispersion ratio. Cluster-centric distances were normalized to R50. The integrated values using all the cluster members are shown as horizontal lines (along with errors depicted as shaded areas). A black dashed line marks the zero expansion (contraction) level.

Current usage metrics show cumulative count of Article Views (full-text article views including HTML views, PDF and ePub downloads, according to the available data) and Abstracts Views on Vision4Press platform.

Data correspond to usage on the plateform after 2015. The current usage metrics is available 48-96 hours after online publication and is updated daily on week days.

Initial download of the metrics may take a while.