Open Access

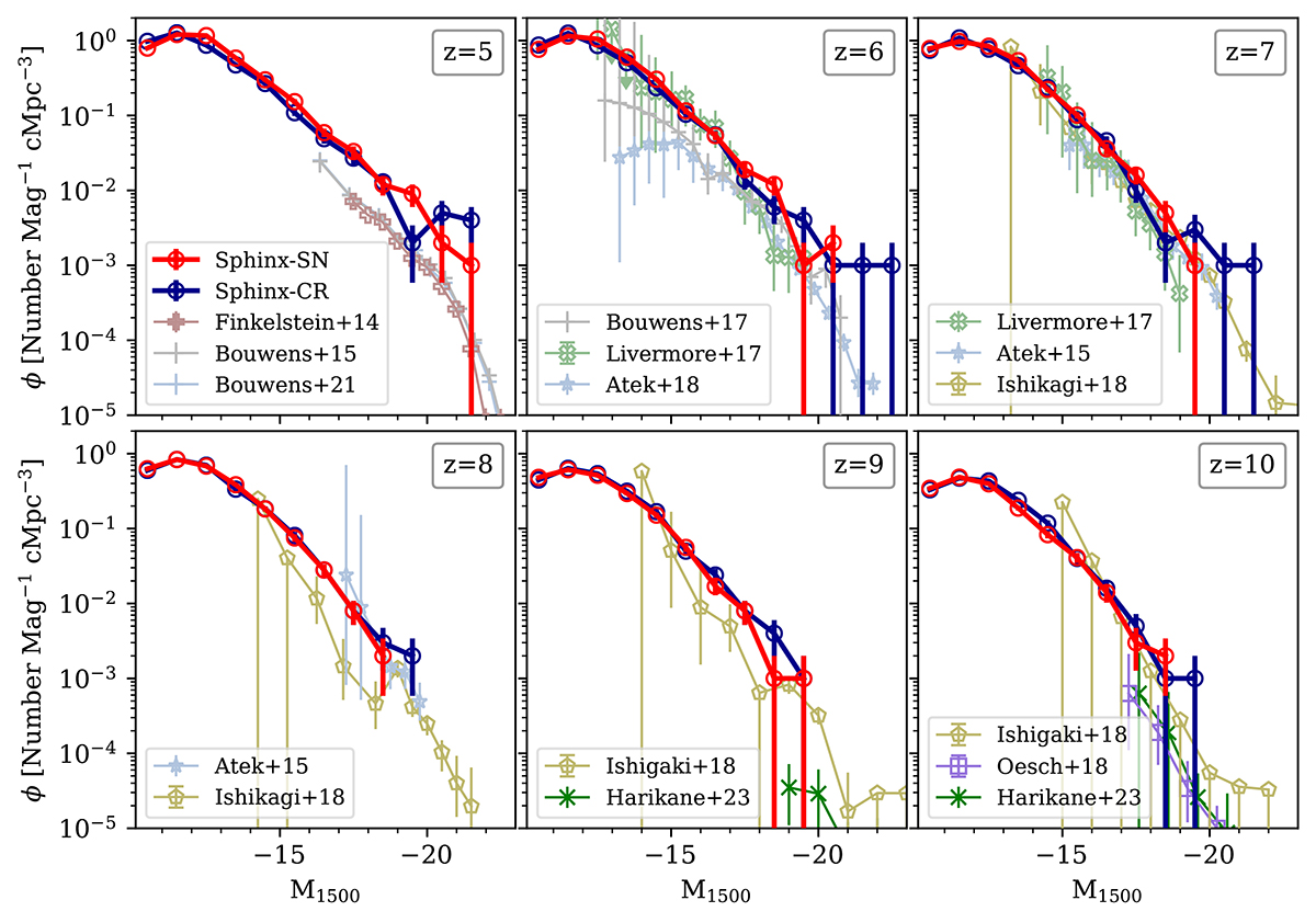
Fig. A.1.

image

Download original image

Intrinsic UV luminosity function in the SPHINX simulations with and without CRs (in dark blue and red), with Poissonian error-bars. From the upper left to the lower right panel, we show increasing redshift from 5 to 10. The references of the observations shown in each panel are written in the legend.

Current usage metrics show cumulative count of Article Views (full-text article views including HTML views, PDF and ePub downloads, according to the available data) and Abstracts Views on Vision4Press platform.

Data correspond to usage on the plateform after 2015. The current usage metrics is available 48-96 hours after online publication and is updated daily on week days.

Initial download of the metrics may take a while.