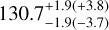
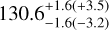
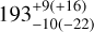
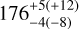
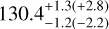
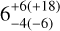
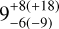
Table 3
Orbital parameters fit to astrometry of PDS 70 b and c only.
| Quantity | Prior | Coplanar | Stable | Stable (incl. N-body) |
|---|---|---|---|---|
| ab (au) | LogUniform(1, 100) | ![]() |
![]() |
![]() |
| eb | Uniform(0, 1) | ![]() |
![]() |
![]() |
| ib (deg) | sin(i) | ![]() |
![]() |
![]() |
| ωb (deg) | Uniform(0, 360) | ![]() |
![]() |
![]() |
| Ωb (deg) | Uniform(0, 360) | ![]() |
![]() |
![]() |
| τb | Uniform(0, 1) | ![]() |
![]() |
![]() |
| ab (au) | LogUniform(1, 100) | ![]() |
![]() |
![]() |
| eb | Uniform(0, 1) | ![]() |
![]() |
![]() |
| ib (deg) | sin(i) | ![]() |
![]() |
![]() |
| ωb (deg) | Uniform(0, 360) | ![]() |
![]() |
![]() |
| Ωb (deg) | Uniform(0, 360) | ![]() |
![]() |
![]() |
| τb | Uniform(0, 1) | ![]() |
![]() |
![]() |
| Parallax (mas) | 𝒩 (8.8975, 0.0191) | ![]() |
![]() |
![]() |
| Mb (Mjup) | Uniform(0, 30) | ![]() |
![]() |
![]() |
| Mc (Mjup) | Uniform(0, 30) | ![]() |
![]() |
![]() |
| M* (M⊙) | 𝒩 (0.88, 0.09) | ![]() |
![]() |
![]() |
Notes. The third column shows the results of the fit using the Gaussian prior on the mutual inclination (see Eq. (2)), while the final two columns show the results of the fit using Eq. (1) as a prior, before and after the N-body analysis. For each parameter the median value of the posterior is listed, with subscripts and superscripts listing the 68% and 95% CIs (with the 95% CIs in parentheses).
Current usage metrics show cumulative count of Article Views (full-text article views including HTML views, PDF and ePub downloads, according to the available data) and Abstracts Views on Vision4Press platform.
Data correspond to usage on the plateform after 2015. The current usage metrics is available 48-96 hours after online publication and is updated daily on week days.
Initial download of the metrics may take a while.















































