Open Access

Fig. 5.

image

Download original image

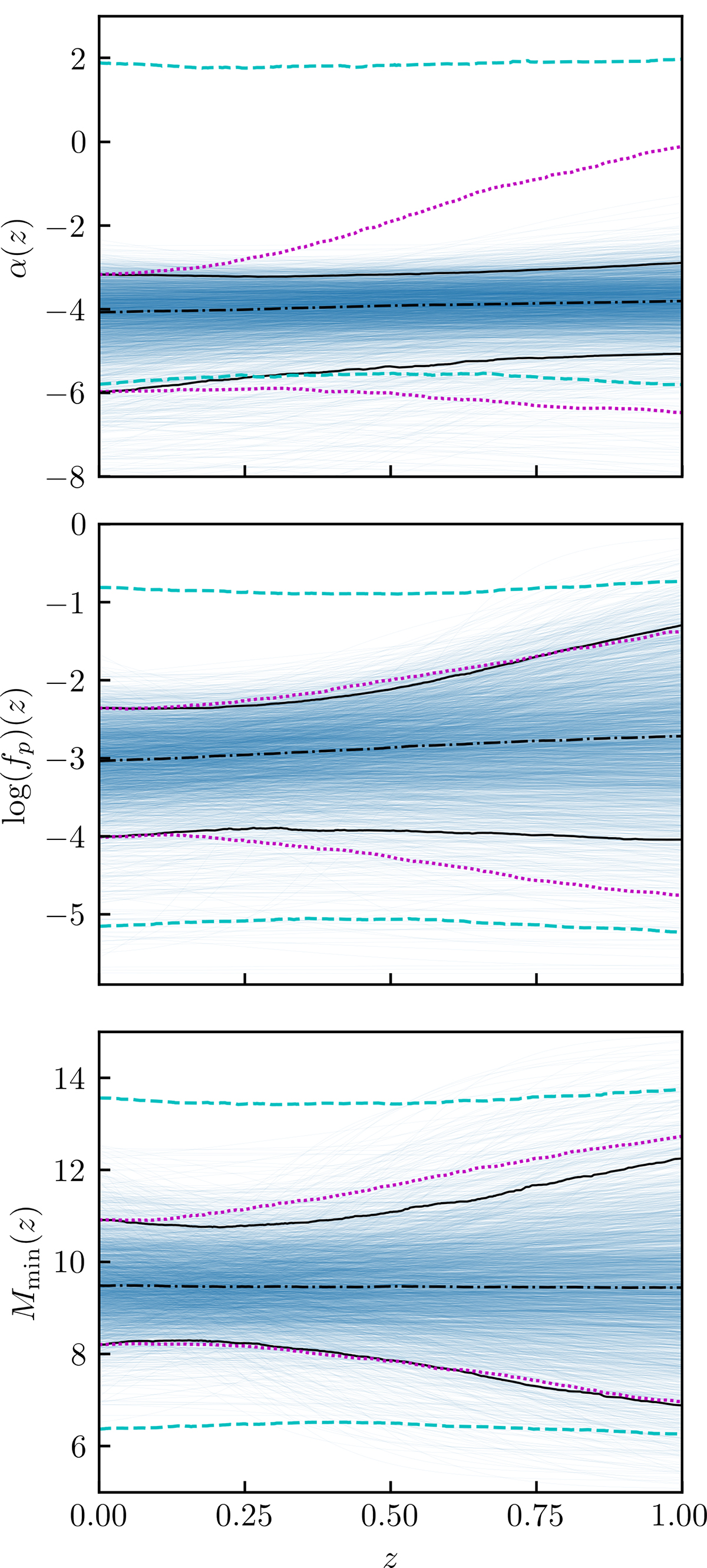
As in Fig. 3, but showing posteriors on the redshift-dependent hyperparameters that characterize the power-law continuum. Specifically, we show posteriors on the power-law slope (top), mixing fraction (middle), and the location below which the mass distribution is truncated (bottom). The posteriors on other parameters (e.g. the maximum black hole mass and high- or low-mass truncation scales) are uninformative and are not shown here.

Current usage metrics show cumulative count of Article Views (full-text article views including HTML views, PDF and ePub downloads, according to the available data) and Abstracts Views on Vision4Press platform.

Data correspond to usage on the plateform after 2015. The current usage metrics is available 48-96 hours after online publication and is updated daily on week days.

Initial download of the metrics may take a while.