Open Access

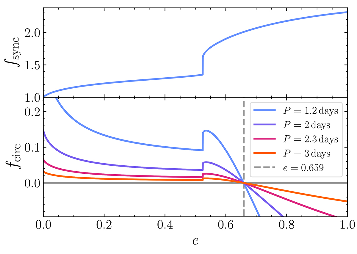
Fig. D.2.

image

Download original image

Upper panel:fsync as a function of the eccentricity. Lower panel:fcirc as a function of the eccentricity for different values of Ωorb. The dashed gray line corresponds to the value of the eccentricity where fcirc changes sign.

Current usage metrics show cumulative count of Article Views (full-text article views including HTML views, PDF and ePub downloads, according to the available data) and Abstracts Views on Vision4Press platform.

Data correspond to usage on the plateform after 2015. The current usage metrics is available 48-96 hours after online publication and is updated daily on week days.

Initial download of the metrics may take a while.