Open Access

Fig. 3.

image

Download original image

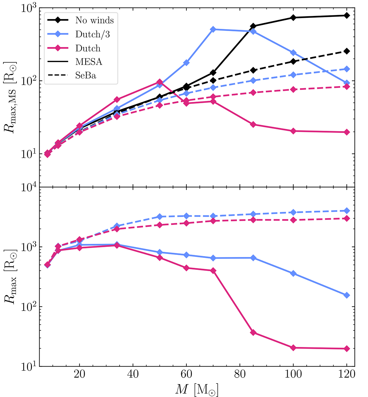
Upper panel: Maximum radius reached during the MS by the MESA and SEBA models for different values of the wind scaling factors (0, 0.333, and 1). Lower panel: Same as upper panel, but for the maximum radius reached during the whole evolution and for wind scaling factors of 0.333 and 1.

Current usage metrics show cumulative count of Article Views (full-text article views including HTML views, PDF and ePub downloads, according to the available data) and Abstracts Views on Vision4Press platform.

Data correspond to usage on the plateform after 2015. The current usage metrics is available 48-96 hours after online publication and is updated daily on week days.

Initial download of the metrics may take a while.