Open Access

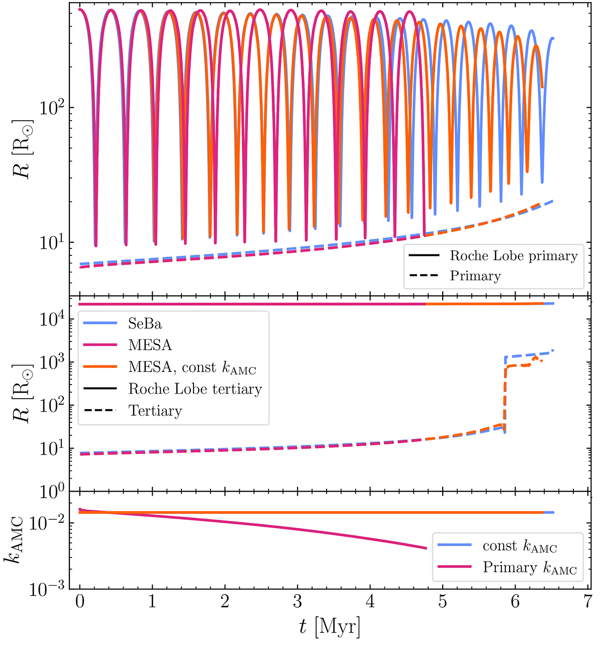
Fig. 9.

image

Download original image

Evolution of the system labeled “ZLK & precession” in Table 1. Upper panel: Radius expansion of the primary (dashed line) and Roche lobe radius (solid line). Middle panel: Same as upper panel, but for the tertiary. Lower panel: Evolution of the apsidal motion constant of the primary.

Current usage metrics show cumulative count of Article Views (full-text article views including HTML views, PDF and ePub downloads, according to the available data) and Abstracts Views on Vision4Press platform.

Data correspond to usage on the plateform after 2015. The current usage metrics is available 48-96 hours after online publication and is updated daily on week days.

Initial download of the metrics may take a while.