Open Access

Fig. 10.

image

Download original image

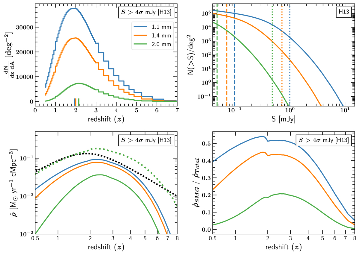
TolTEC UDS survey predictions for redshift distributions (top-left panel), source number counts (top-right panel), SFRDs (bottom-left panel), and ratio of submillimeter SFRDs to the total cosmic SFRDs (bottom-right panel) using the H13 relation and the FLAMINGO simulation. The blue, orange and green curves respectively represent 1.1 mm, 1.4 mm, and 2.0 mm wavelength bands. Vertical dashed and dotted lines in top-right panel indicate the 4σ depths of the TolTEC UDS and LSS surveys, respectively. In the bottom-left panel, the green dotted curve is the total cosmic SFRD and solid curves are (sub)millimeter SFRDs of FLAMINGO, and the black dotted curve is the Madau & Dickinson (2014) fit to observations. The TolTEC 0.8 deg2 UDS survey at 1.1 mm is expected to observe ≈80 000 sources above the 4σ detection limit, which will contribute to about 50% of the cosmic SFRD at z ≈ 2.5.

Current usage metrics show cumulative count of Article Views (full-text article views including HTML views, PDF and ePub downloads, according to the available data) and Abstracts Views on Vision4Press platform.

Data correspond to usage on the plateform after 2015. The current usage metrics is available 48-96 hours after online publication and is updated daily on week days.

Initial download of the metrics may take a while.