Open Access

Fig. 6.

image

Download original image

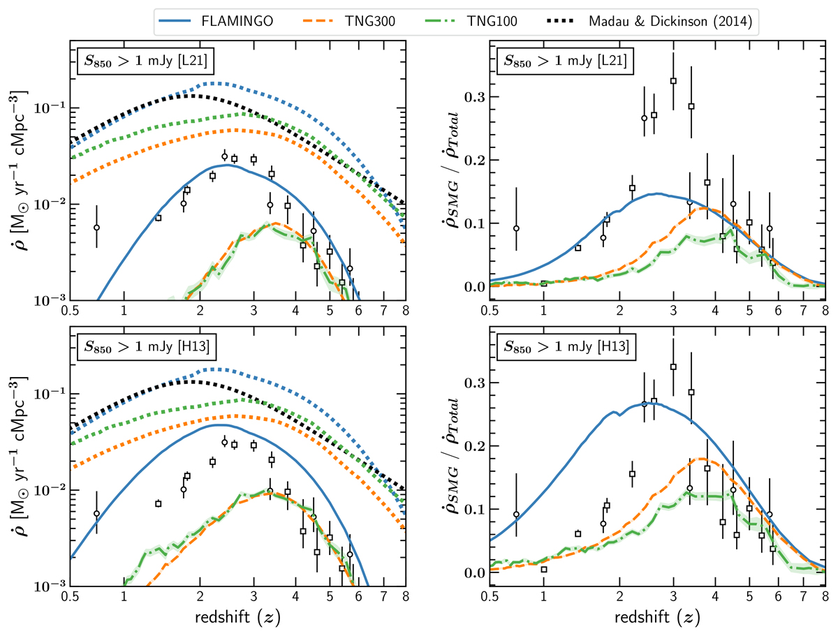
Left column: Contribution of submillimeter galaxies with S850 > 1 mJy to the cosmic SFRD in the FLAMINGO (solid blue), TNG300 (dashed orange), and TNG100 (dash-dotted green) simulations. Dotted curves represent the total SFRD in corresponding colors. The dotted black color show the Madau & Dickinson (2014) fit to observations. The top panel shows predictions using the L21 relation, while the bottom panel using the H13 relation. The shaded regions around SFRD of submillimeter galaxies are 1σ uncertainty for 100 realizations. For comparison, we show submillimeter observations from Swinbank et al. (2014) and Dudzevičiūtė et al. (2020) using, respectively, open circles and boxes. Right column: Ratio of submillimeter to total SFRD corresponding to the left column. We use the Madau & Dickinson (2014) cosmic SFRD to estimate observational ratio. At peak activity, the submillimeter contribution in the FLAMINGO simulation is about 27% for the H13 Model.

Current usage metrics show cumulative count of Article Views (full-text article views including HTML views, PDF and ePub downloads, according to the available data) and Abstracts Views on Vision4Press platform.

Data correspond to usage on the plateform after 2015. The current usage metrics is available 48-96 hours after online publication and is updated daily on week days.

Initial download of the metrics may take a while.