Open Access

Fig. 7.

image

Download original image

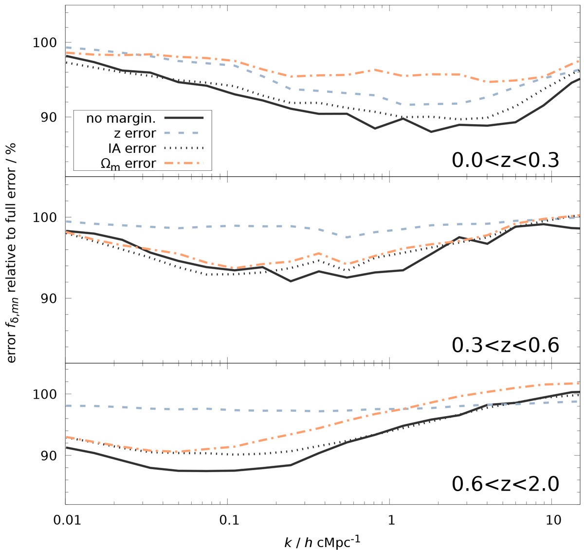
Percentage fraction in total marginal posterior error of fδ, mn due to uncertainties in the lensing kernel and IA parameter. Shown is the statistical error relative to the full marginal error (RMS variance of posterior) as a function of k in three redshift bins without marginalisation (solid lines), with marginalisation over errors in the source redshift distributions only (dashed lines), Ωm in the lensing kernel only (dash-dotted lines), and for the AIA error only (dotted lines).

Current usage metrics show cumulative count of Article Views (full-text article views including HTML views, PDF and ePub downloads, according to the available data) and Abstracts Views on Vision4Press platform.

Data correspond to usage on the plateform after 2015. The current usage metrics is available 48-96 hours after online publication and is updated daily on week days.

Initial download of the metrics may take a while.