Open Access

Fig. F.1

image

Download original image

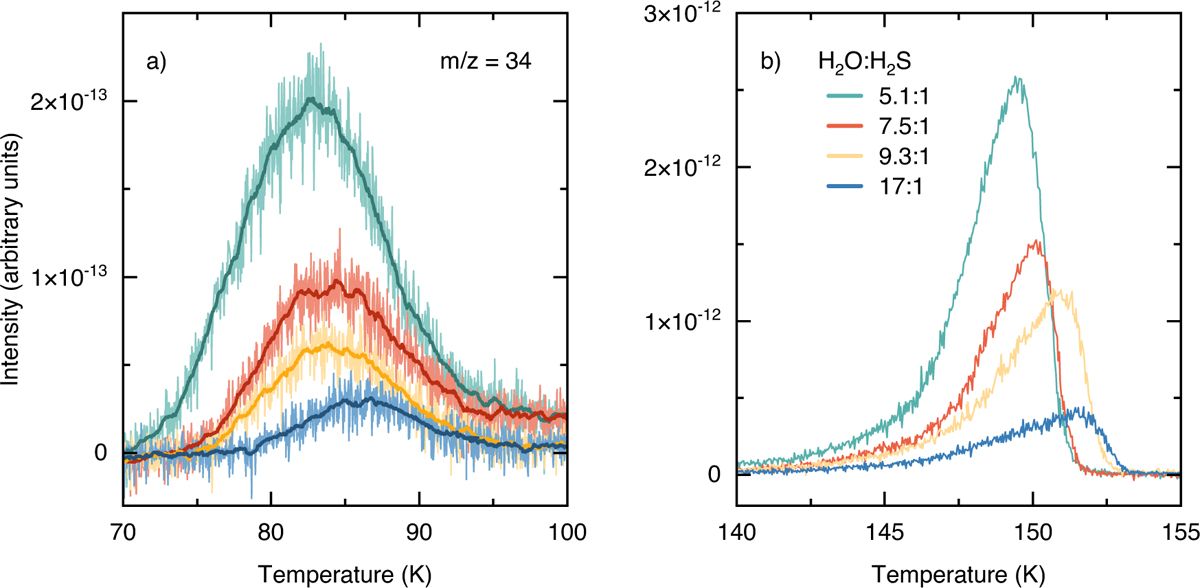
TPD data measured by the QMS for m/z = 34 in the experiments with mixed H2O:H2S ices. Panel a: Monolayer desorption of H2S molecules with access to the surface. Panel b: Molecular volcano feature due to H2S entrapped in the H2O ice matrix.

Current usage metrics show cumulative count of Article Views (full-text article views including HTML views, PDF and ePub downloads, according to the available data) and Abstracts Views on Vision4Press platform.

Data correspond to usage on the plateform after 2015. The current usage metrics is available 48-96 hours after online publication and is updated daily on week days.

Initial download of the metrics may take a while.