Open Access

Fig. 2

image

Download original image

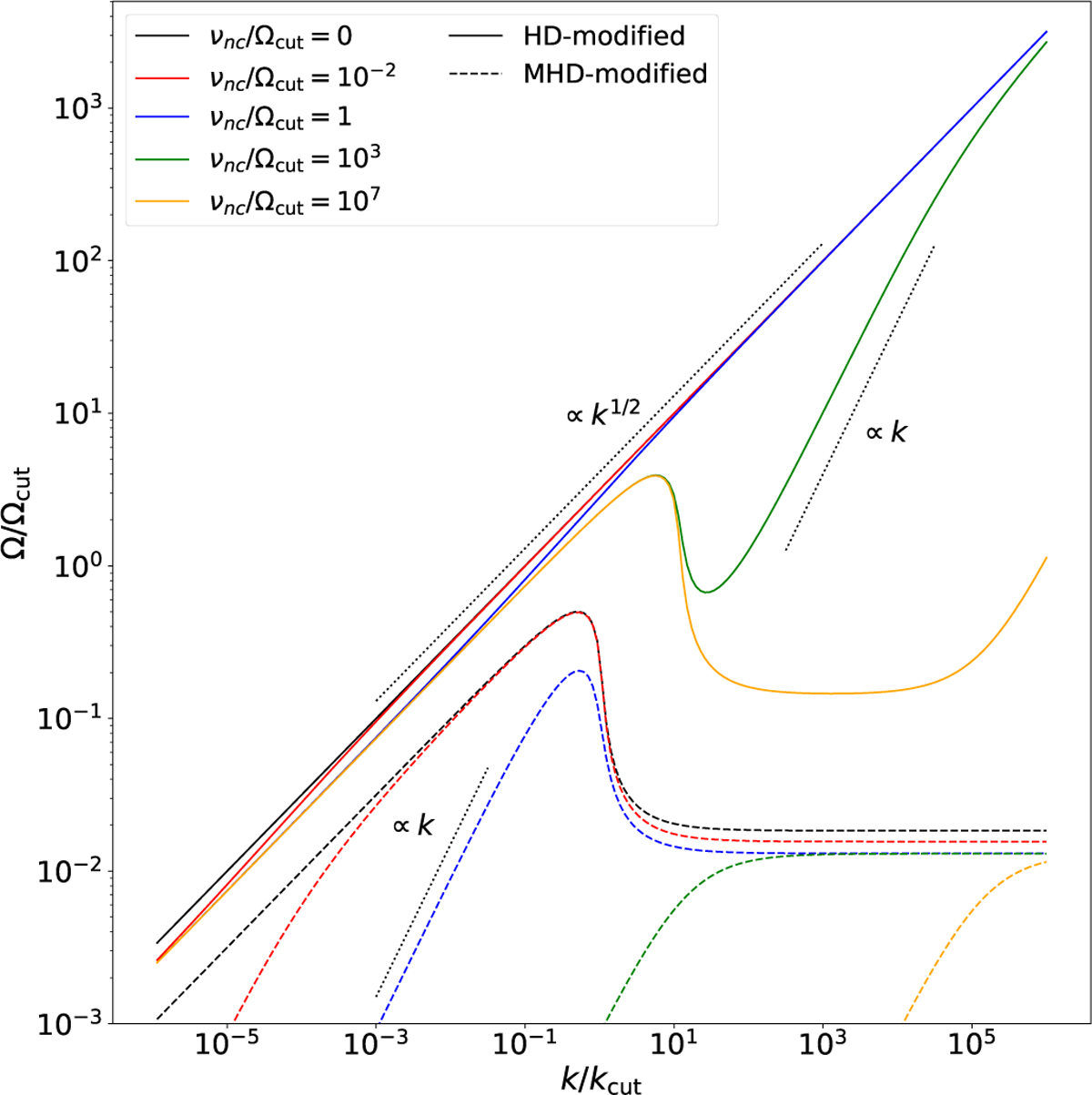
Solutions to the dispersion relation, normalised by Ωcut, for various values of the coupling parameter νnccut: 0 (black lines), 10−2 (red lines), 1 (blue lines), 103 (green lines), and 107 (yellow lines). We plot the two modes obtained: HD modified (plain lines) MHD modified (dashed lines). We set θ = 1°, α = 0°, d = 0.25, gn = 10gc, ρc = ρn.

Current usage metrics show cumulative count of Article Views (full-text article views including HTML views, PDF and ePub downloads, according to the available data) and Abstracts Views on Vision4Press platform.

Data correspond to usage on the plateform after 2015. The current usage metrics is available 48-96 hours after online publication and is updated daily on week days.

Initial download of the metrics may take a while.