Open Access

Fig. 6

image

Download original image

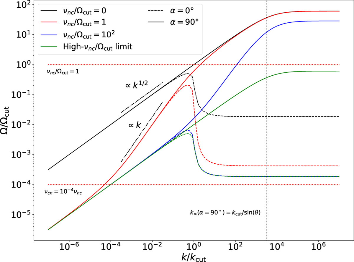
Solutions to the dispersion relation for various values of the coupling parameter νnc/Ω: 0 (black, MHD limit), 1 (red), 102 (blue), and ∞ (green, perfect coupling), for two values of the angle α: 90° (solid) and 0° (dashed). The solutions are normalised by Ωcut. We set gn = 0, θ = 1°, d = 0.25, ρ0c/ρ0n = 10−4 as in Fig. 3.

Current usage metrics show cumulative count of Article Views (full-text article views including HTML views, PDF and ePub downloads, according to the available data) and Abstracts Views on Vision4Press platform.

Data correspond to usage on the plateform after 2015. The current usage metrics is available 48-96 hours after online publication and is updated daily on week days.

Initial download of the metrics may take a while.