Open Access

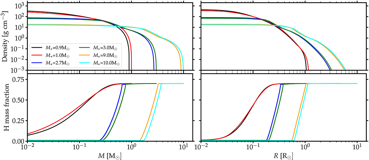
Fig. 2.

image

Download original image

Internal structure of stellar models. Density (top) and H mass fraction (bottom) profiles of our main-sequence stellar models with a metallicity of Z = 0.02 and at the core H mass fraction of 0.01, as a function of enclosed mass (left) and radius (right).

Current usage metrics show cumulative count of Article Views (full-text article views including HTML views, PDF and ePub downloads, according to the available data) and Abstracts Views on Vision4Press platform.

Data correspond to usage on the plateform after 2015. The current usage metrics is available 48-96 hours after online publication and is updated daily on week days.

Initial download of the metrics may take a while.