Open Access

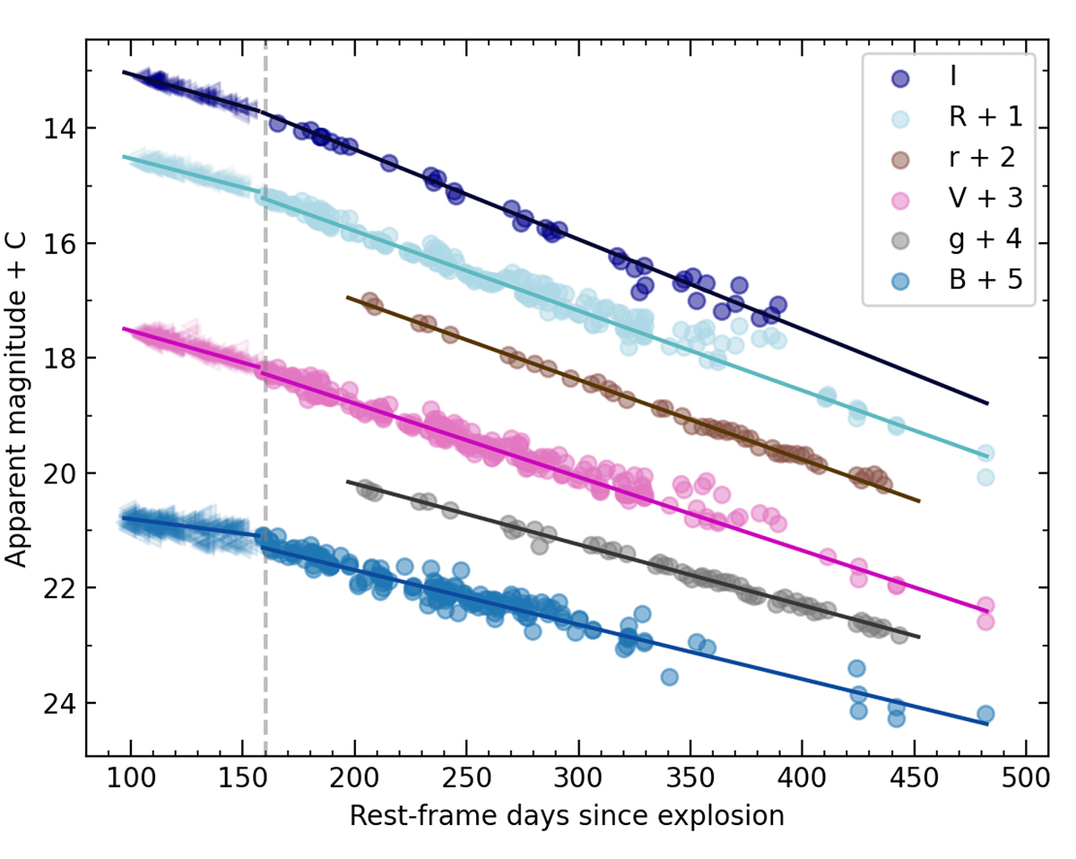
Fig. 2.

image

Download original image

Late-phase light curves of SN 2023ixf. BVRI bands data were downloaded from the AAVSO database. The g and r bands correspond to the ZTF program. The vertical dashed line at 160 days indicates the moment when the slopes increase in the BVRI bands.

Current usage metrics show cumulative count of Article Views (full-text article views including HTML views, PDF and ePub downloads, according to the available data) and Abstracts Views on Vision4Press platform.

Data correspond to usage on the plateform after 2015. The current usage metrics is available 48-96 hours after online publication and is updated daily on week days.

Initial download of the metrics may take a while.