Open Access

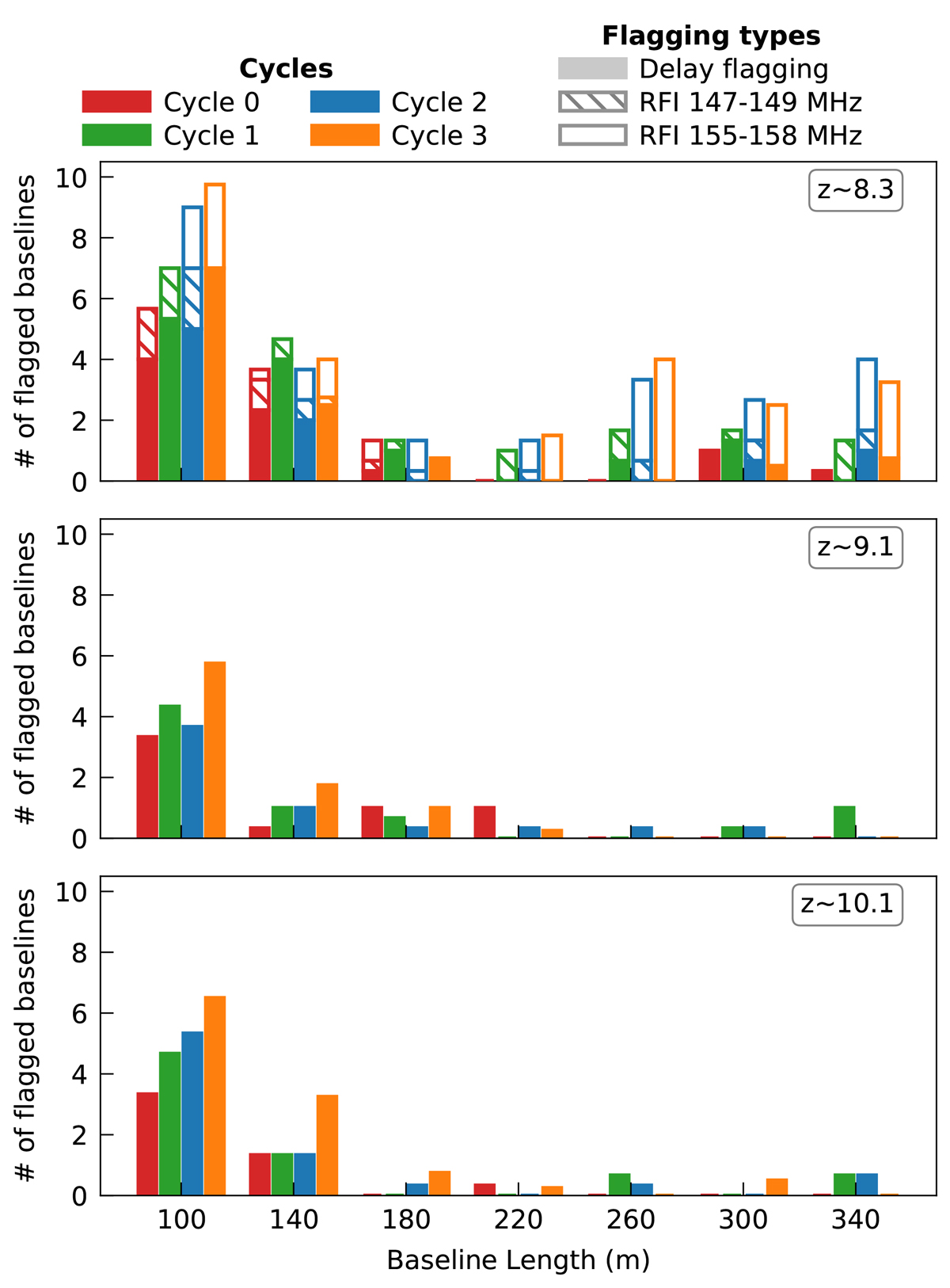
Fig. 4.

image

Download original image

Number of flagged baselines by some of the post-calibration visibility flagger, grouped by baseline length bins and categorised by different sources of contamination. Short baselines are predominantly affected, although certain frequency bands (147–149 MHz and 155–159 MHz) also show contamination on longer baselines

Current usage metrics show cumulative count of Article Views (full-text article views including HTML views, PDF and ePub downloads, according to the available data) and Abstracts Views on Vision4Press platform.

Data correspond to usage on the plateform after 2015. The current usage metrics is available 48-96 hours after online publication and is updated daily on week days.

Initial download of the metrics may take a while.