Open Access

Fig. 8.

image

Download original image

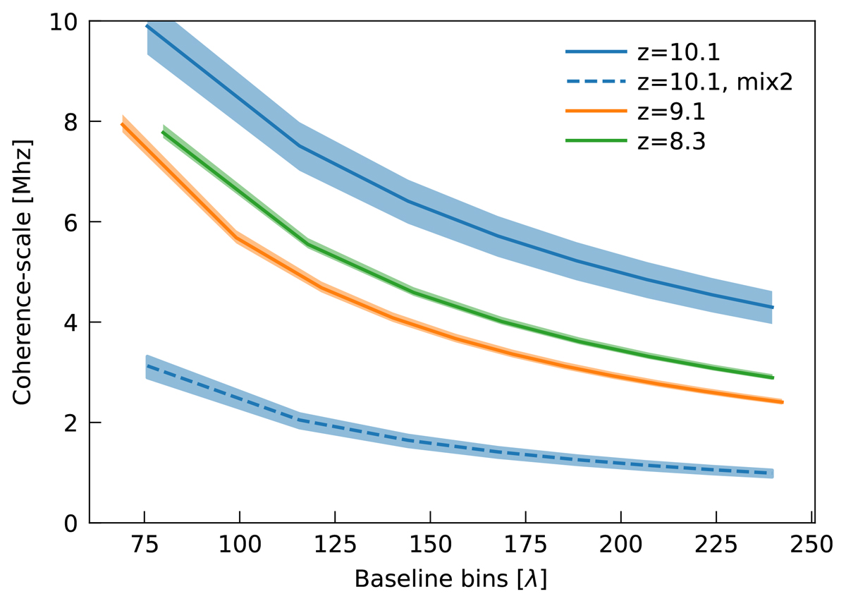
Coherence scales of the mode-mixing foreground GPR components for the three different redshift bins. The baseline dependence of the coherence scale is defined by Equation (10). Based on the estimated values of the θ parameters for the mode-mixing components, the coherence scales range approximately between 8 MHz and ≈2.5 MHz for redshift bins 8.3 (green line) and 9.1 (orange line). For redshift bin 10.1 (blue line), two mode-mixing components are required, yielding coherence scales ranging approximately between 10 MHz and 4 MHz for the first component (solid line), and between 3 MHz and 1 MHz for the second (dashed line).

Current usage metrics show cumulative count of Article Views (full-text article views including HTML views, PDF and ePub downloads, according to the available data) and Abstracts Views on Vision4Press platform.

Data correspond to usage on the plateform after 2015. The current usage metrics is available 48-96 hours after online publication and is updated daily on week days.

Initial download of the metrics may take a while.