Open Access

Fig. 1

image

Download original image

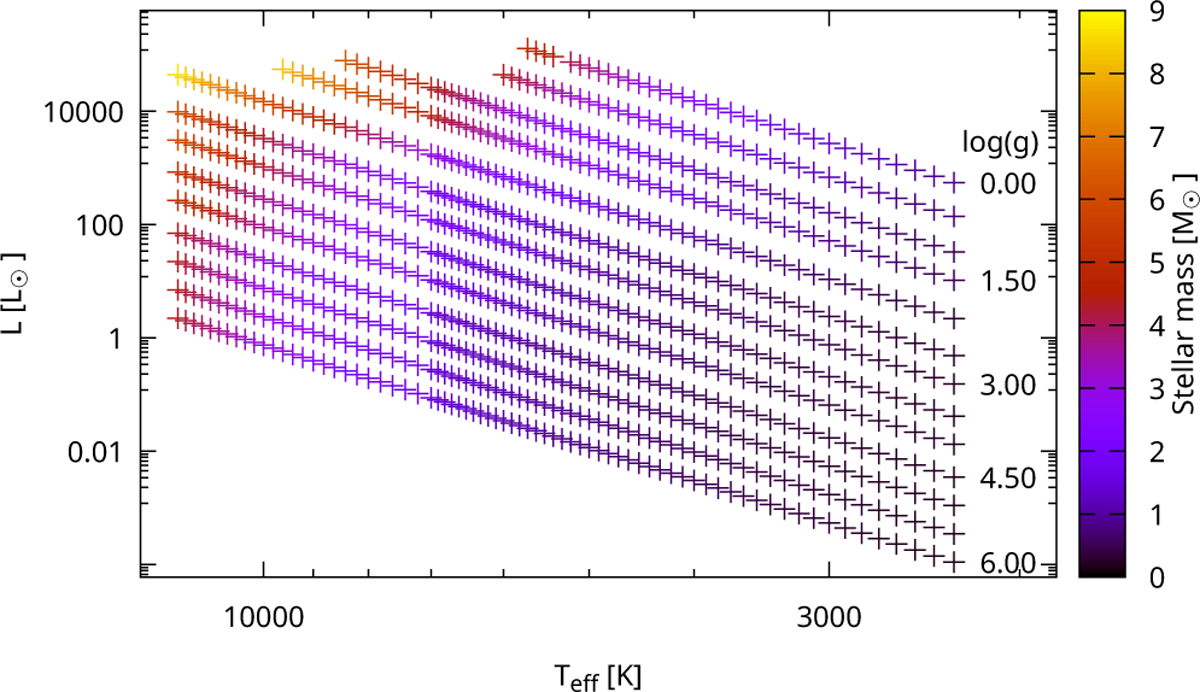
Available models for solar metallicity in a Hertzsprung-Russell Diagram. The parameters of the models are the effective temperature (on the x-axis), log (g) (indicated next to the series of models for constant log (g)), the metallicity (fixed to [M/H]=0 in this plot) and stellar mass (color coded) following Husser et al. (2013). The luminosity of the models follows from the given parameters. See Section 4 for a discussion of the shape formed by the available models.

Current usage metrics show cumulative count of Article Views (full-text article views including HTML views, PDF and ePub downloads, according to the available data) and Abstracts Views on Vision4Press platform.

Data correspond to usage on the plateform after 2015. The current usage metrics is available 48-96 hours after online publication and is updated daily on week days.

Initial download of the metrics may take a while.