Open Access

Fig. 5

image

Download original image

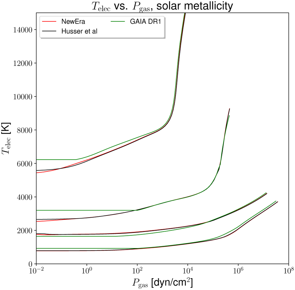
Structure of models with (bottom to top) Teff = 2300, 3000, 5000, 9800 K and log(g) = 5.0, 5.0, 4.5, and 4.5 for solar metallicity respectively, compared to the NextGen (Hauschildt et al. 1999b), Gaia DR1 (Kučinskas et al. 2005), ACES (Husser et al. 2013), and New Era (this work) (not all structures are available at all metallicities).

Current usage metrics show cumulative count of Article Views (full-text article views including HTML views, PDF and ePub downloads, according to the available data) and Abstracts Views on Vision4Press platform.

Data correspond to usage on the plateform after 2015. The current usage metrics is available 48-96 hours after online publication and is updated daily on week days.

Initial download of the metrics may take a while.