Open Access

Fig. 6.

image

Download original image

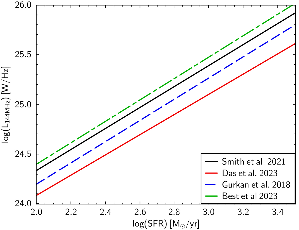
Comparison of four L144 MHz–SFR calibrations derived from LOFAR observations at 144 MHz. For an easier comparison we use the calibrations obtained without the stellar mass dependence: log(L144 MHz) = 22.221+1.058log(SFR) (Smith et al. 2021), log(L144 MHz) = 22.024+1.019log(SFR) (Das et al. 2024), log(L144 MHz) = 22.06+1.017log(SFR) (Gürkan et al. 2018), and log(L144 MHz) = 22.24+1.08log(SFR) (Best et al. 2023). To better highlight the differences between calibrations, the plot shows only the region with high L144 MHz and SFR. When needed, the SFR was converted to the initial mass function of Chabrier (2003) using the corrections provided in Madau & Dickinson (2014).

Current usage metrics show cumulative count of Article Views (full-text article views including HTML views, PDF and ePub downloads, according to the available data) and Abstracts Views on Vision4Press platform.

Data correspond to usage on the plateform after 2015. The current usage metrics is available 48-96 hours after online publication and is updated daily on week days.

Initial download of the metrics may take a while.