Open Access

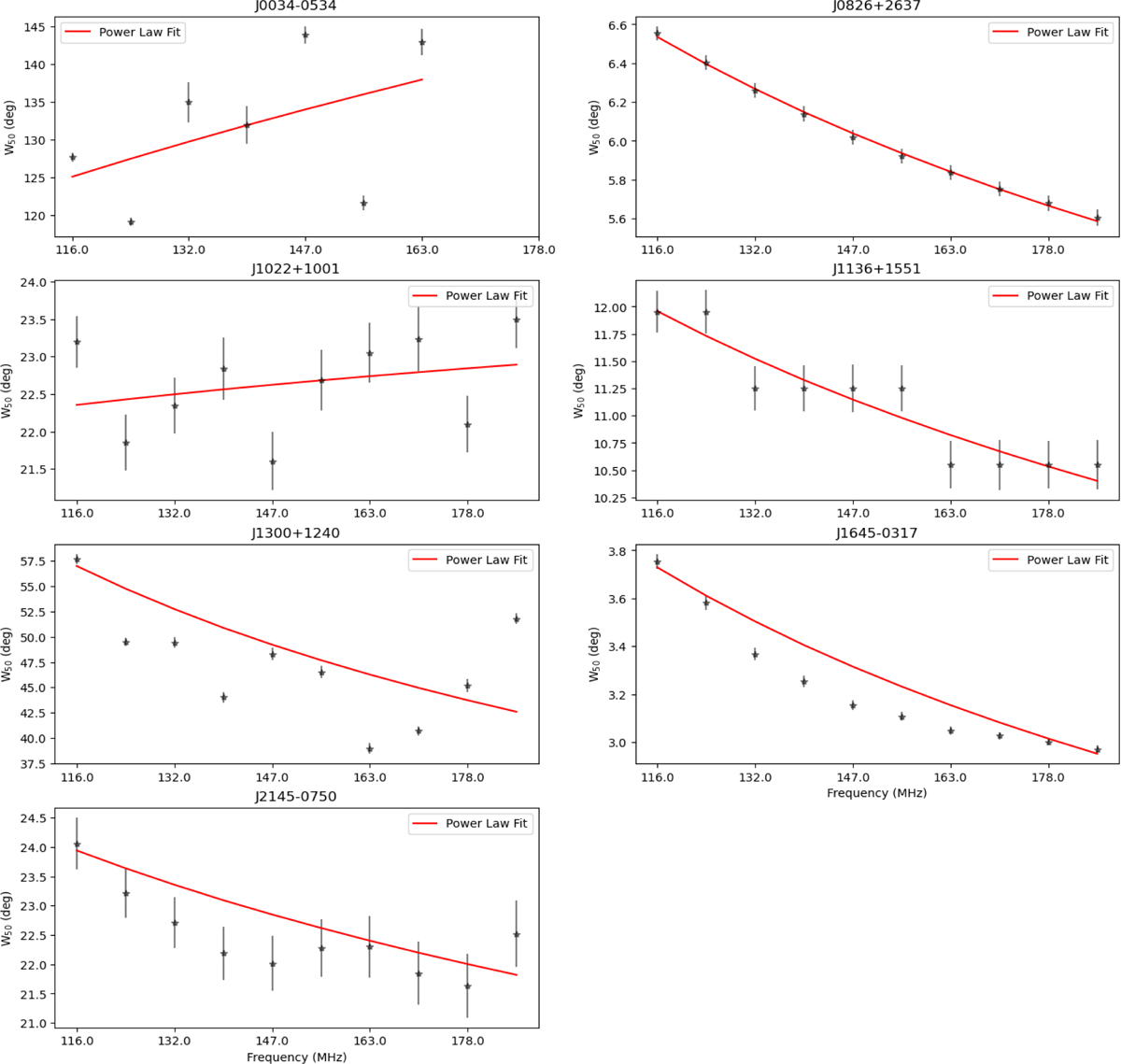
Fig. 4

image

Download original image

FWHM pulse widths for the pulsars in our dataset. The black stars represent the pulse width at each frequency, with the corresponding error in measurement. The red lines in each panel are the power-law fits on the FWHM values. The FWHM values that lie below the power-law fits correspond to the absorption features, which can be seen most prominently in PSRs J1300+1240 and J1645-0317

Current usage metrics show cumulative count of Article Views (full-text article views including HTML views, PDF and ePub downloads, according to the available data) and Abstracts Views on Vision4Press platform.

Data correspond to usage on the plateform after 2015. The current usage metrics is available 48-96 hours after online publication and is updated daily on week days.

Initial download of the metrics may take a while.