Open Access

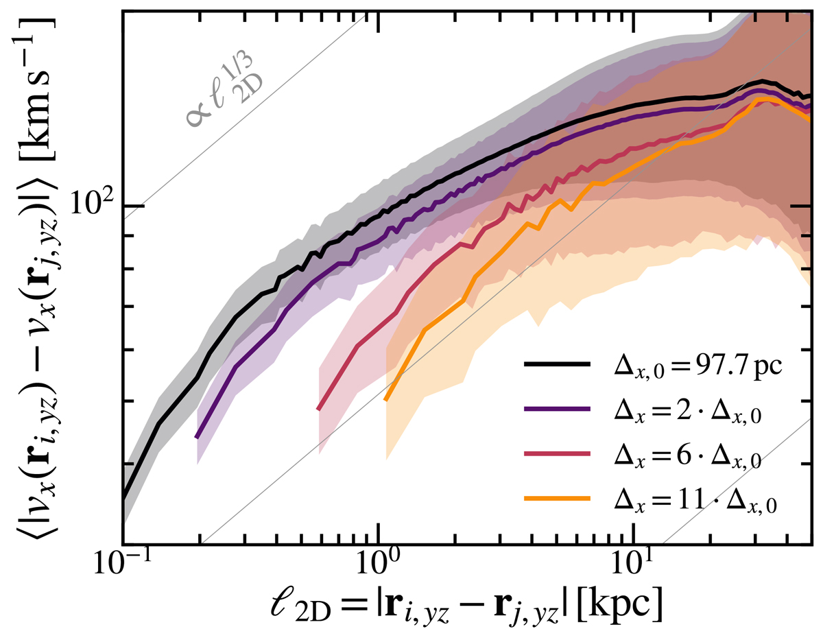
Fig. 10.

image

Download original image

Velocity structure functions obtained from projected maps taking various spatial resolutions for the cold gas located at a projected radius of r ≤ 25 kpc. The projection method for all curves is equivalent to the third curve in Fig. 8 (i.e., labeled as yz + w(Hα)). Consequently, the VSFs presented here are shallower than their three-dimensional counterparts (labeled as 3D in Fig. 8) due to projection and emission weighting. The darkest curve corresponds to the maximum spatial resolution Δx, 0 of our simulation. All brighter curves are obtained from coarse-grained maps with pixel size Δx. The colored areas represent the standard deviation resulting from time variation across all snapshots.

Current usage metrics show cumulative count of Article Views (full-text article views including HTML views, PDF and ePub downloads, according to the available data) and Abstracts Views on Vision4Press platform.

Data correspond to usage on the plateform after 2015. The current usage metrics is available 48-96 hours after online publication and is updated daily on week days.

Initial download of the metrics may take a while.