Fig. A.1.
 
      Download original image
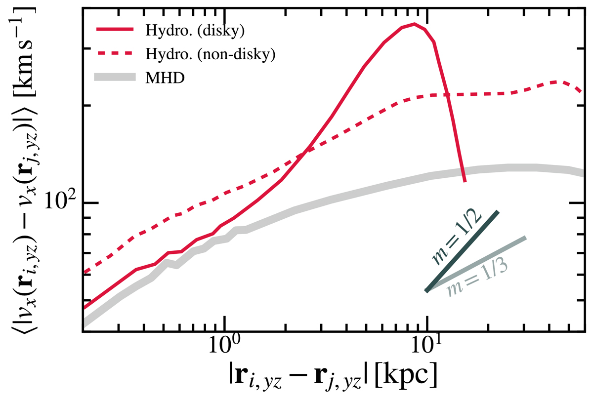
Comparison between the time-averaged projected VSFs of our hydrodynamical (red lines) and MHD (gray line) runs. In the hydrodynamical run, the gas is nearly entirely contained in a disk of radius rdisk ∼ 5 − 10 kpc for times t ≤ 2.7 Gyr. We thus distinguish this specific phase (solid line) from the remaining part of the run (dashed line) where no disk is visible (i.e., for t ≥ 2.7 Gyr).
Current usage metrics show cumulative count of Article Views (full-text article views including HTML views, PDF and ePub downloads, according to the available data) and Abstracts Views on Vision4Press platform.
Data correspond to usage on the plateform after 2015. The current usage metrics is available 48-96 hours after online publication and is updated daily on week days.
Initial download of the metrics may take a while.
