Open Access

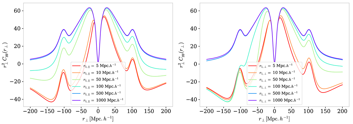
Fig. F.1.

image

Download original image

Galaxy-galaxy covariance contraction for the RC25 model with the same parameterization than 6 (and σg = 3.0 h−1·Mpc) while varying the reference position r1 in the parallel r1,∥ (left) and perpendicular r1,⊥ (right) direction. Those contractions are expressed in one-dimension as a function of perpendicular separation r when r = 0 h−1·Mpc.

Current usage metrics show cumulative count of Article Views (full-text article views including HTML views, PDF and ePub downloads, according to the available data) and Abstracts Views on Vision4Press platform.

Data correspond to usage on the plateform after 2015. The current usage metrics is available 48-96 hours after online publication and is updated daily on week days.

Initial download of the metrics may take a while.