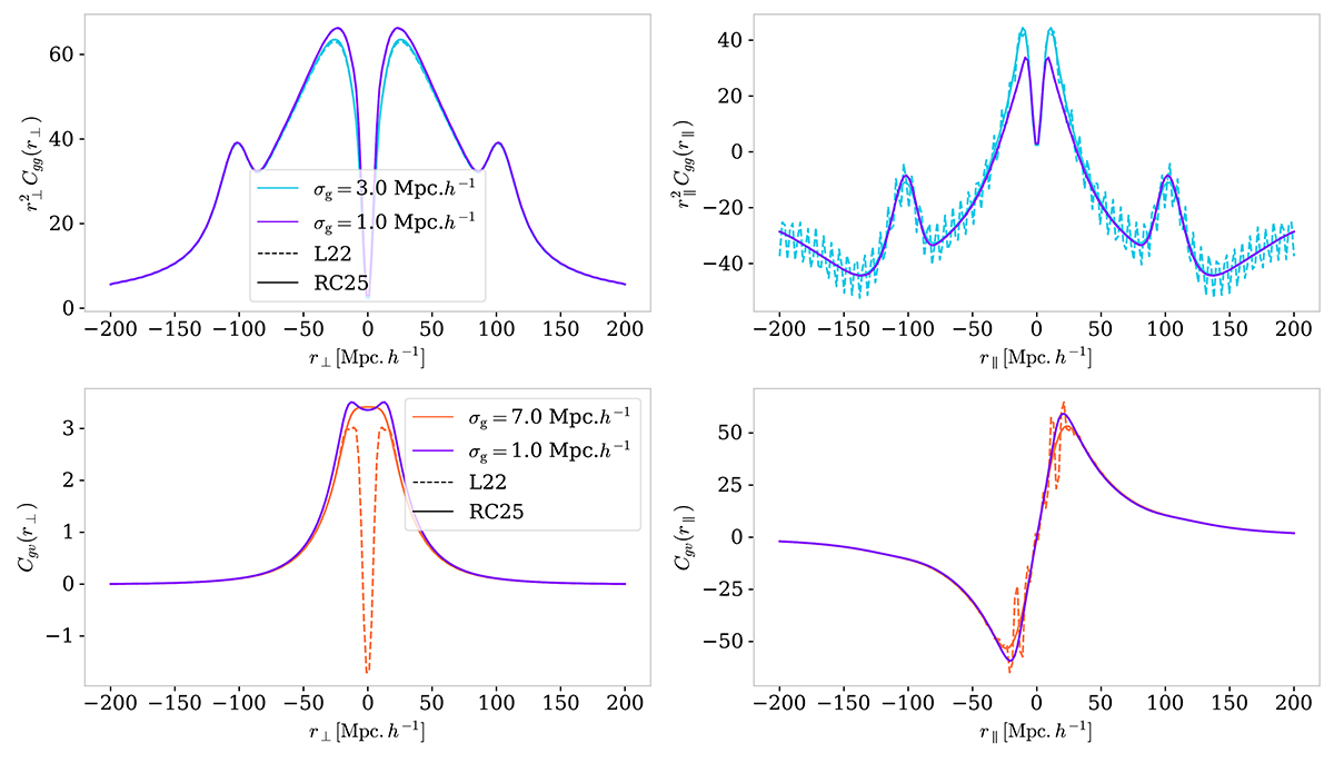
Fig. 7.
 
      Download original image
Covariance contraction with the same parameterization than Fig. 6 while varying the σg parameter for L22 and RC25 models. Only Cgg (top) and Cgv (bottom) are represented, as velocity-velocity correlations do not depend on σg. Those contractions are expressed in one-dimension as a function of r⊥ when r∥ = 0 h−1 Mpc (left) and as a function of r∥ when r⊥ = 0 h−1 Mpc (right).
Current usage metrics show cumulative count of Article Views (full-text article views including HTML views, PDF and ePub downloads, according to the available data) and Abstracts Views on Vision4Press platform.
Data correspond to usage on the plateform after 2015. The current usage metrics is available 48-96 hours after online publication and is updated daily on week days.
Initial download of the metrics may take a while.
