Open Access
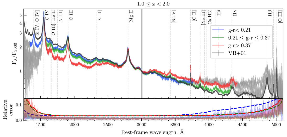
Fig. 21.
 
      Download original image
Similar to Fig 17, but for 1.0 ≤ z < 2.0 AGNs normalised with regard to the flux at 3000 Å. The blue and red stacks contain 1271 sources each, while the intermediate stack in green has 1270. The black line indicates the QSO spectrum from Vanden Berk et al. (2001).
Current usage metrics show cumulative count of Article Views (full-text article views including HTML views, PDF and ePub downloads, according to the available data) and Abstracts Views on Vision4Press platform.
Data correspond to usage on the plateform after 2015. The current usage metrics is available 48-96 hours after online publication and is updated daily on week days.
Initial download of the metrics may take a while.
