Open Access

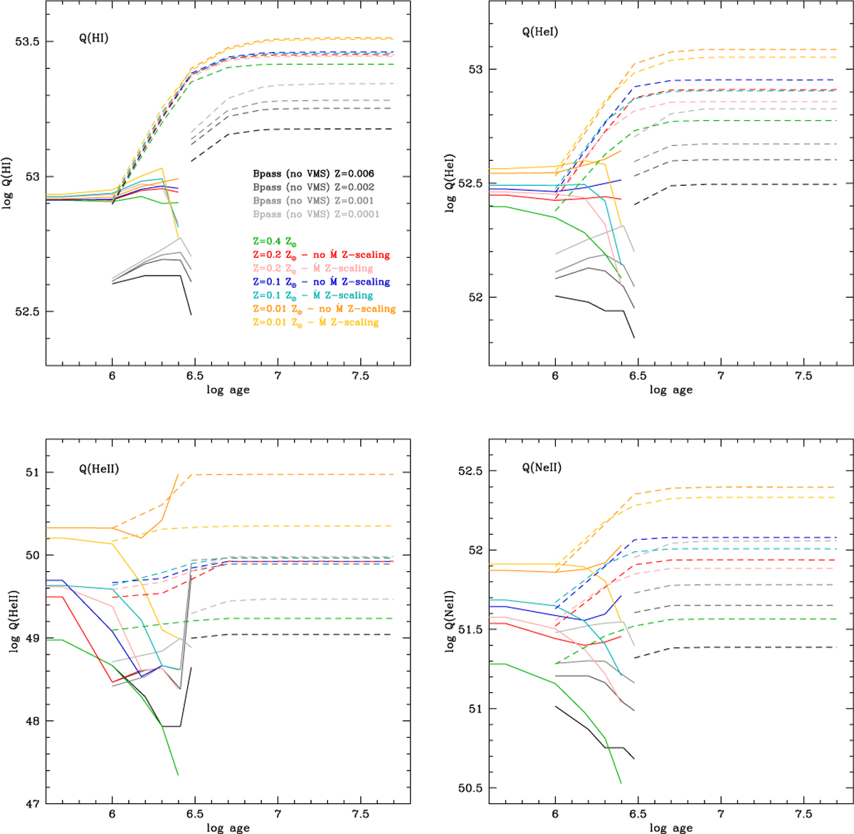
Fig. 13

image

Download original image

Number of ionising photons per second as a function of age for population synthesis models. The upper left (upper right, lower left, lower right) panel is for H I (He I, He II, Ne II). Solid (dashed) lines are burst (CSF) models. Grey lines are for BPASS models that do not include VMSs, i.e. the models we use for stars with masses below 100 M.

Current usage metrics show cumulative count of Article Views (full-text article views including HTML views, PDF and ePub downloads, according to the available data) and Abstracts Views on Vision4Press platform.

Data correspond to usage on the plateform after 2015. The current usage metrics is available 48-96 hours after online publication and is updated daily on week days.

Initial download of the metrics may take a while.