Open Access

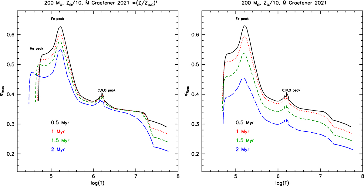
Fig. 2

image

Download original image

Mean Rosseland opacity profiles as a function of temperature at four different ages on the main sequence for the 200M model at 0.1 Z with (left) and without (right) Z-scaling of the VMS mass-loss rates. The opacity bumps of CNO nuclei, Fe and He II are indicated.

Current usage metrics show cumulative count of Article Views (full-text article views including HTML views, PDF and ePub downloads, according to the available data) and Abstracts Views on Vision4Press platform.

Data correspond to usage on the plateform after 2015. The current usage metrics is available 48-96 hours after online publication and is updated daily on week days.

Initial download of the metrics may take a while.