Open Access

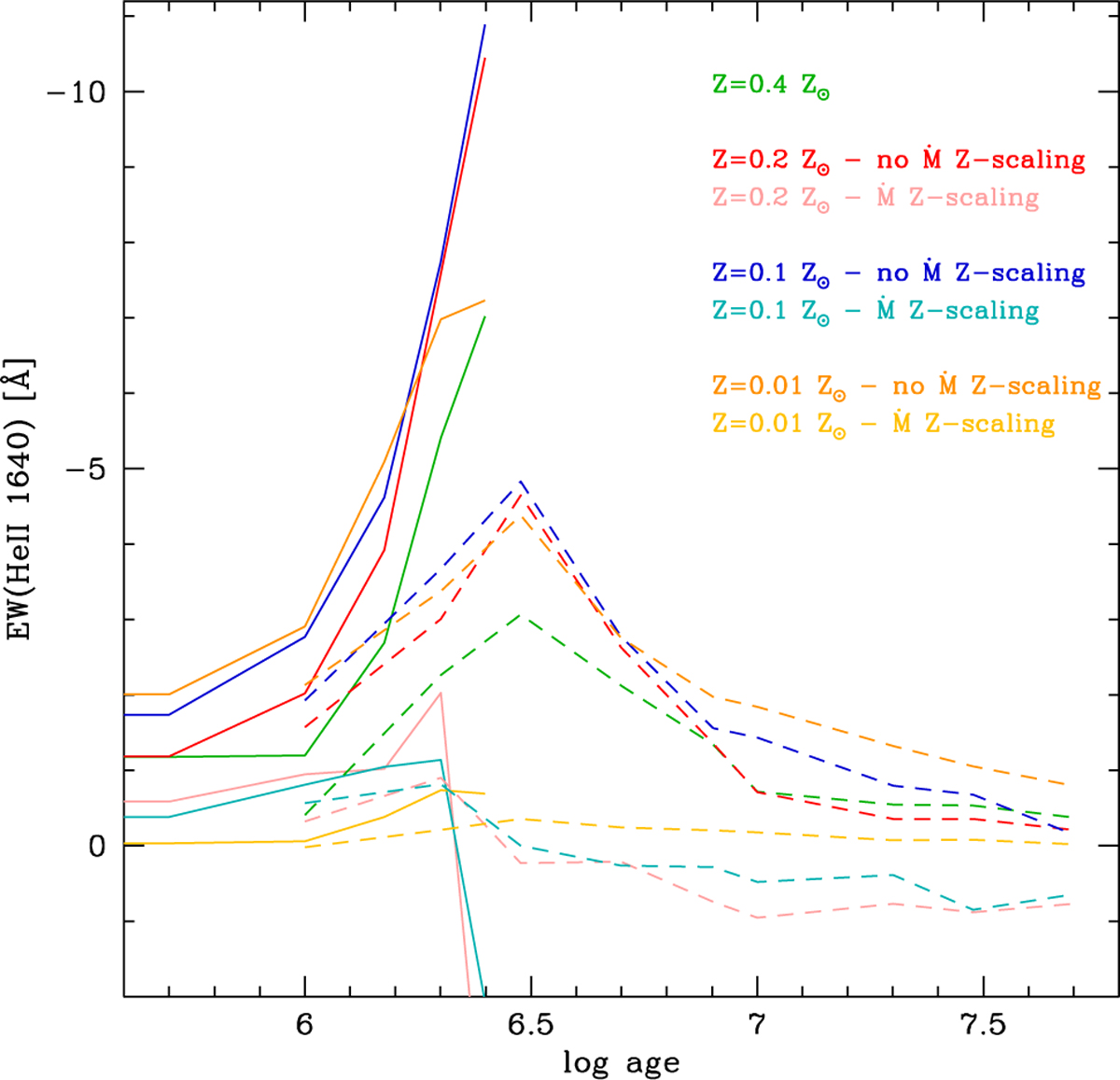
Fig. 7

image

Download original image

EW (He II 1640) as a function of age for burst models (solid lines) and CSF models (dashed lines). Models with Z = 0.2(0.1, 0.01) Z are shown in red and pink (blue and cyan, orange and yellow). Light colours (pink, cyan, and yellow) are models with a metallicity scaling of mass-loss rate, while blue, red, and orange are models with no Z scaling. Green lines are models from Martins & Palacios (2022) at Z = 0.4 Z.

Current usage metrics show cumulative count of Article Views (full-text article views including HTML views, PDF and ePub downloads, according to the available data) and Abstracts Views on Vision4Press platform.

Data correspond to usage on the plateform after 2015. The current usage metrics is available 48-96 hours after online publication and is updated daily on week days.

Initial download of the metrics may take a while.