Open Access

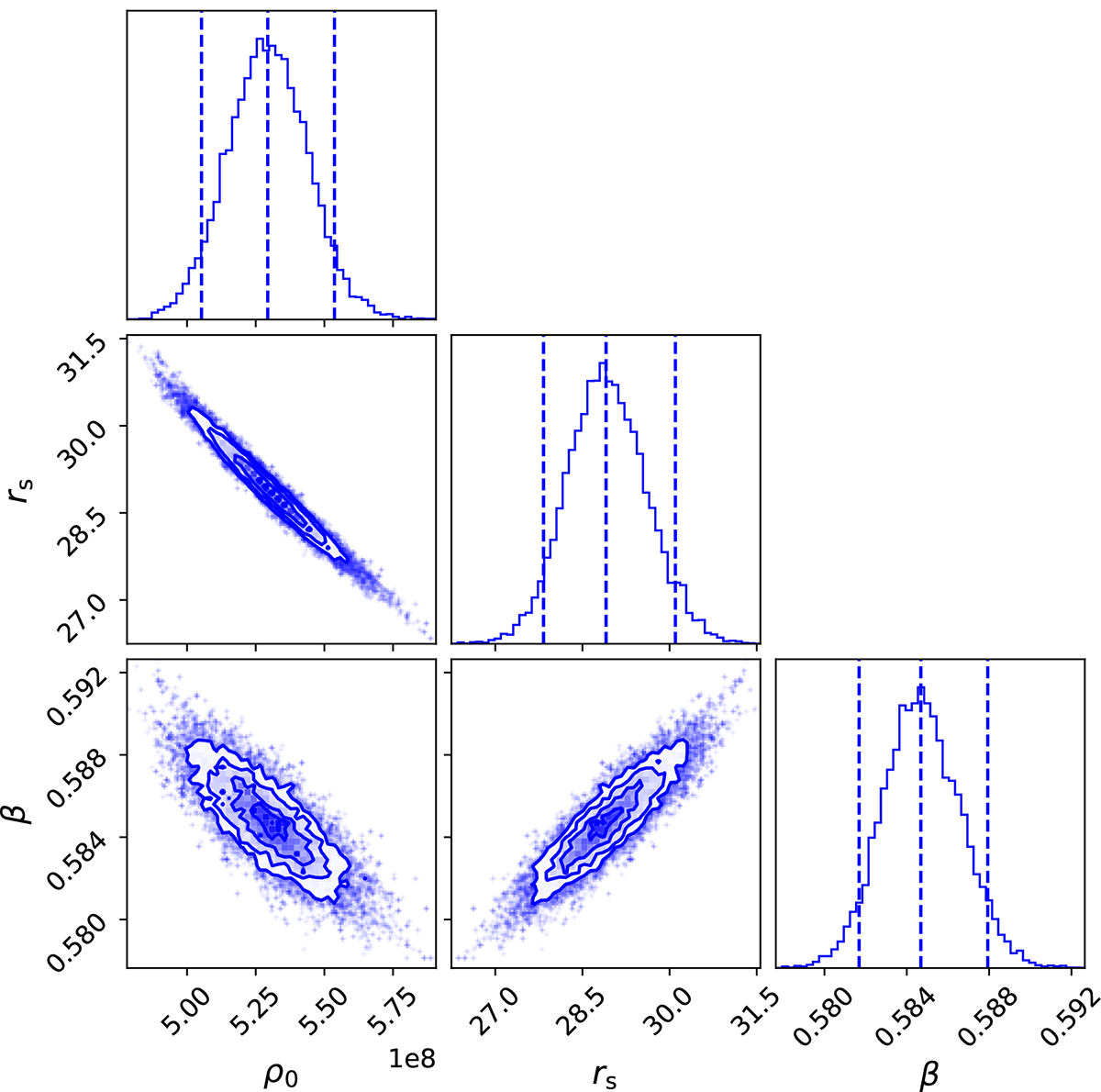
Fig. 7.

image

Download original image

Corner plot of the beta model parameters for the galaxy cluster M1206. The vertical dashed lines in the histograms represent from left to right the 16th, 50th, and 84th percentiles of the distribution, and in the 2D histograms the 0.5, 1, 1.5, and 2 σ equivalent contours are drawn. The central density ρ0 and the scaling radius rs are strongly correlated. This behavior is observed for all models of each galaxy cluster.

Current usage metrics show cumulative count of Article Views (full-text article views including HTML views, PDF and ePub downloads, according to the available data) and Abstracts Views on Vision4Press platform.

Data correspond to usage on the plateform after 2015. The current usage metrics is available 48-96 hours after online publication and is updated daily on week days.

Initial download of the metrics may take a while.