Open Access

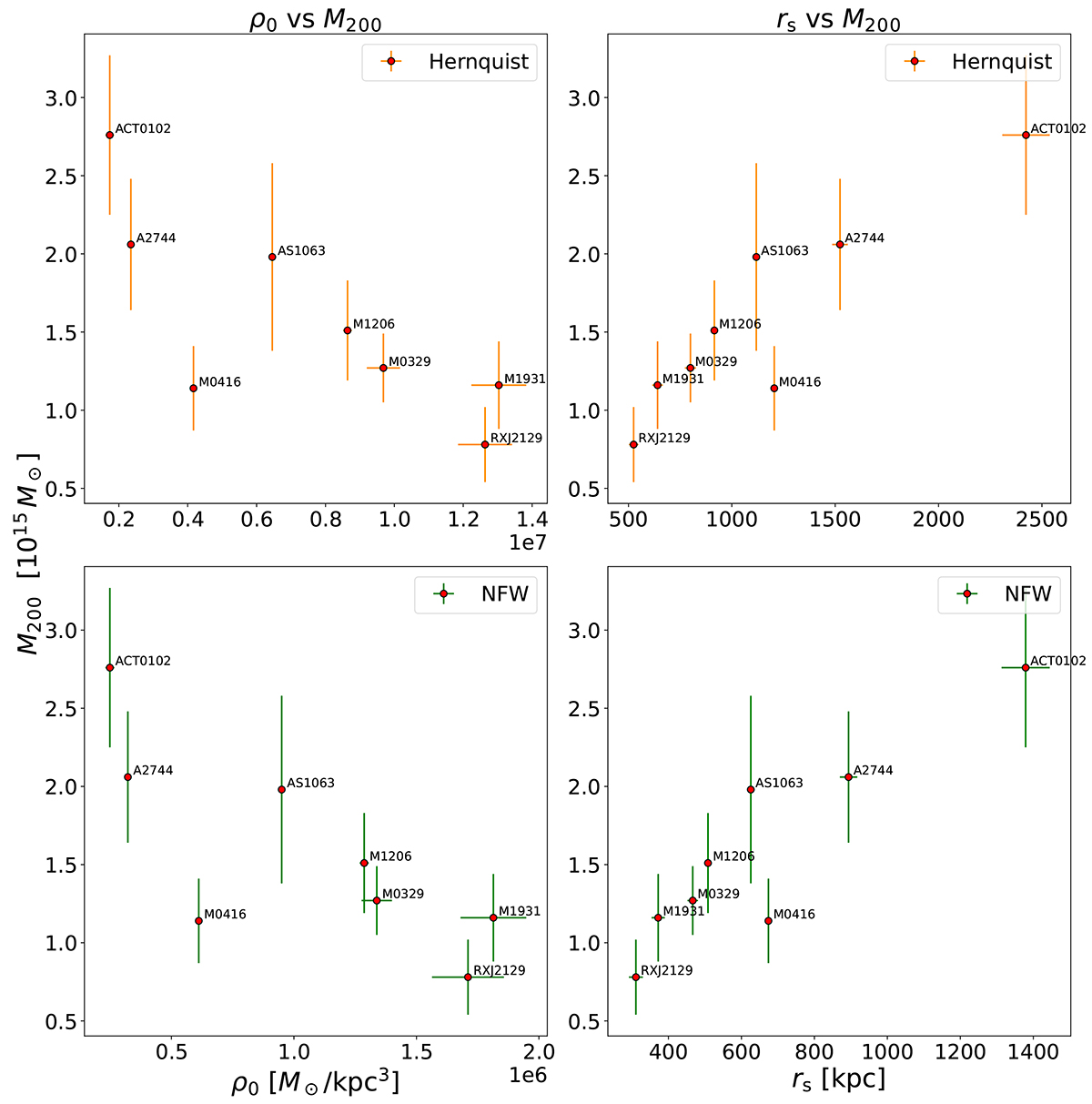
Fig. A.1.

image

Download original image

Relation between the best-fitting parameters of the NFW and Hernquist profile for each galaxy cluster in the sample. On the left column we plot the ρ0 vs M200c relation, while on the right we plot rs vs M200c.

Current usage metrics show cumulative count of Article Views (full-text article views including HTML views, PDF and ePub downloads, according to the available data) and Abstracts Views on Vision4Press platform.

Data correspond to usage on the plateform after 2015. The current usage metrics is available 48-96 hours after online publication and is updated daily on week days.

Initial download of the metrics may take a while.